精英家教网 > 高中数学 > 题目详情

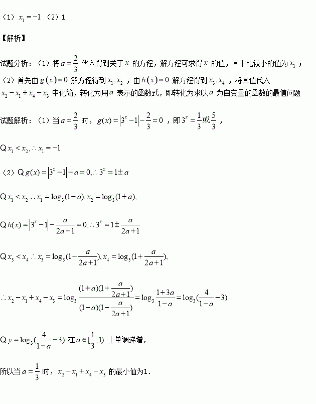
(本题满分16分)已知函数若函数有两个不同的零点,函数有两个不同的零点

(1)若,求的值;

(2)求的最小值.

练习册系列答案
相关习题

科目:高中数学 来源:2015-2016学年辽宁省大连市高一上学期期中考试数学试卷(解析版) 题型:解答题

已知是R上的奇函数,且当时,

(1)求的解析式;

(2)作出函数的图象(不用列表),并指出它的增区间.

查看答案和解析>>

科目:高中数学 来源:2016届浙江省高三10月月考文科数学试卷(解析版) 题型:选择题

中,角的对边分别为,若,则角的值是( )

A. B. C. D.

查看答案和解析>>

科目:高中数学 来源:2015-2016学年四川成都市六校高一上学期期中联考数学试卷(解析版) 题型:选择题

若偶函数上是增函数,则下列关系式中成立的是( )

A.

B.

C.

D.

查看答案和解析>>

科目:高中数学 来源:2015-2016学年四川成都市六校高二上学期期中联考理科数学试卷(解析版) 题型:解答题

(本小题满分10分)如图甲,⊙的直径,圆上两点在直径的两侧,使.沿直径折起,使两个半圆所在的平面互相垂直(如图乙),的中点.根据图乙解答下列各题:

(1)求点的距离;

(2)在弧上是否存在一点,使得∥平面?若存在,试确定点的位置;若不存在,请说明理由.

查看答案和解析>>

科目:高中数学 来源:2015-2016学年湖北省宜昌市高一上学期期中考试数学试卷(解析版) 题型:解答题

设a是实数,f(x)=a-(x∈R).

(1)证明:f(x)是增函数;

(2)试确定a的值,使f(x)为奇函数.

查看答案和解析>>

科目:高中数学 来源:2015-2016学年河北省高一上学期第一次月考数学试卷(解析版) 题型:填空题

若函数的定义域为,则的取值范围是

查看答案和解析>>

科目:高中数学 来源:2015-2016学年广西武鸣县高中高二上段考文科数学试卷(解析版) 题型:选择题

直线的倾斜角为( )
A. B. C. D.

查看答案和解析>>

科目:高中数学 来源:2015-2016学年云南省蒙自市高二10月月考理科数学试卷(解析版) 题型:解答题

已知中,角所对的边分别为,且满足

(1)求角的大小 ;

(2)若,求周长的取值范围.

查看答案和解析>>

同步练习册答案