精英家教网 > 高中数学 > 题目详情

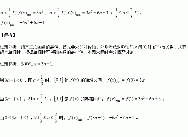
(本题12分)时,求函数的最小值

练习册系列答案
相关习题

科目:高中数学 来源:2015-2016学年江苏启东中学高二上学期期中理科数学试卷(解析版) 题型:填空题

命题“”的否定是

查看答案和解析>>

科目:高中数学 来源:2015-2016学年内蒙古巴彦淖尔市高一10月月考数学试卷(解析版) 题型:选择题

的图象是( ).

查看答案和解析>>

科目:高中数学 来源:2015-2016学年湖北省黄石市高一10月月考数学试卷(解析版) 题型:选择题

已知集合A={1,3,},B={1,m},A∪B=A,则m=( )

A.0或 B.0或3 C.1或 D.1或3

查看答案和解析>>

科目:高中数学 来源:2015-2016学年河北省高二10月月考文科数学试卷(解析版) 题型:解答题

甲、乙两位学生参加数学竞赛培训,在培训期间,他们参加的5次预赛成绩记录如下:

(1)用茎叶图表示这两组数据;

(2)从甲、乙两人的成绩中各随机抽取一个,求甲的成绩比乙高的概率;

(3)①求甲、乙两人的成绩的平均数与方差,②若现要从中选派一人参加数学竞赛,根据你的计算结果,你认为选派哪位学生参加合适?

查看答案和解析>>

科目:高中数学 来源:2015-2016学年广东省英德市高一上学期第一次月考数学试卷(解析版) 题型:解答题

(本题满分13分)已知为常数),

(1)若的图象与轴有唯一的交点,求的值;

(2)若在区间[]为单调函数,求的取值范围;

(3)求在区间[0,2]内的最小值。

查看答案和解析>>

科目:高中数学 来源:2015-2016学年广东省普宁市高二上期中考试理科数学试卷(解析版) 题型:填空题

已知数列{},,则数列的通项公式为_______

查看答案和解析>>

科目:高中数学 来源:2015-2016学年广东省高二上学期期中考试文科数学试卷(解析版) 题型:解答题

(本小题满分12分)

已知△的内角所对的边分别为

(1)若, 求的值;

(2)若△的面积的值.

查看答案和解析>>

科目:高中数学 来源:2016届山东师大附中高三上学期二模理科数学试卷(解析版) 题型:选择题

,且( )

A. B. C. D.

查看答案和解析>>

同步练习册答案