精英家教网 > 高中数学 > 题目详情

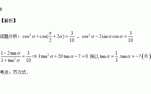
,且( )

A. B. C. D.

练习册系列答案
相关习题

科目:高中数学 来源:2015-2016学年河北省唐山市高一10月月考数学试卷(解析版) 题型:解答题

(本题12分)时,求函数的最小值

查看答案和解析>>

科目:高中数学 来源:2015-2016学年安徽省高一上学期第一次月考数学试卷(解析版) 题型:选择题

已知是定义在上的偶函数,且在上是增函数,设,则的大小关系是( )

A. B. C. D.

查看答案和解析>>

科目:高中数学 来源:2016届云南省高三上学期第一次月考理科数学试卷(解析版) 题型:选择题

已知,且,若,则的大小关系是( )

A. B. C. D.

查看答案和解析>>

科目:高中数学 来源:2016届山东师大附中高三上学期二模文科数学试卷(解析版) 题型:选择题

已知向量,则( )

A. B. C. D.9

查看答案和解析>>

科目:高中数学 来源:2016届黑龙江哈尔滨六中高三上期中文科数学试卷(解析版) 题型:选择题

中,边上的一点,的面积为,则的长为( )

A. B. C. D.

查看答案和解析>>

科目:高中数学 来源:2016届黑龙江哈尔滨六中高三上期中理科数学试卷(解析版) 题型:选择题

若幂函数的图象不过原点,则的取值是( )

A. B. C. D.

查看答案和解析>>

科目:高中数学 来源:2014-2015学年浙江宁波效实中学高三上学期期中文科数学试卷(解析版) 题型:选择题

”是“”的( )

A.充分不必要条件

B.必要不充分条件

C.充要条件

D.既不充分也不必要条件

查看答案和解析>>

科目:高中数学 来源:2014-2015学年浙江省嵊州市高一竞赛数学试卷(解析版) 题型:选择题

,则 ( )

A. B. C. D.

查看答案和解析>>

同步练习册答案