精英家教网 > 高中数学 > 题目详情

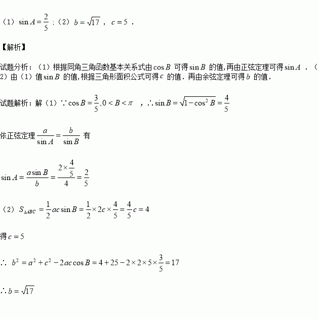
(本小题满分12分)

已知△的内角所对的边分别为

(1)若, 求的值;

(2)若△的面积的值.

练习册系列答案
相关习题

科目:高中数学 来源:2015-2016学年四川省德阳市高二10月月考数学试卷(解析版) 题型:填空题

直线过点且在坐标轴上的截距相等,则该直线方程为________.

查看答案和解析>>

科目:高中数学 来源:2015-2016学年河北省唐山市高一10月月考数学试卷(解析版) 题型:解答题

(本题12分)时,求函数的最小值

查看答案和解析>>

科目:高中数学 来源:2015-2016学年广东省高一上第一次月考数学试卷(解析版) 题型:解答题

(12分)已知y=f(x)是定义在R上的偶函数,当x≥0时,f(x)=x2-2x.

(1)求f(x)的解析式;

(2)作出函数f(x)的图象,并指出其单调区间.

查看答案和解析>>

科目:高中数学 来源:2015-2016学年广东省高一上学期期中考试数学试卷(解析版) 题型:填空题

计算.

查看答案和解析>>

科目:高中数学 来源:2015-2016学年广东省高二上学期期中考试理科数学试卷(解析版) 题型:解答题

(本小题满分12分)

已知△的内角所对的边分别为

(1)若, 求的值;

(2)若△的面积的值.

查看答案和解析>>

科目:高中数学 来源:2015-2016学年安徽省高一上学期第一次月考数学试卷(解析版) 题型:选择题

已知是定义在上的偶函数,且在上是增函数,设,则的大小关系是( )

A. B. C. D.

查看答案和解析>>

科目:高中数学 来源:2016届云南省高三上学期第一次月考理科数学试卷(解析版) 题型:选择题

已知,且,若,则的大小关系是( )

A. B. C. D.

查看答案和解析>>

科目:高中数学 来源:2014-2015学年浙江宁波效实中学高三上学期期中文科数学试卷(解析版) 题型:选择题

”是“”的( )

A.充分不必要条件

B.必要不充分条件

C.充要条件

D.既不充分也不必要条件

查看答案和解析>>

同步练习册答案