精英家教网 > 高中数学 > 题目详情

(本小题满分12分)

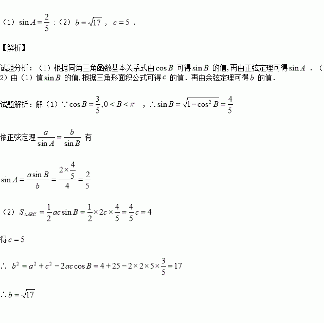
已知△的内角所对的边分别为

(1)若, 求的值;

(2)若△的面积的值.

练习册系列答案
相关习题

科目:高中数学 来源:2015-2016学年四川省德阳市高一10月月考数学试卷(解析版) 题型:填空题

已知函数,则___ .

查看答案和解析>>

科目:高中数学 来源:2015-2016学年广东省英德市高一上学期第一次月考数学试卷(解析版) 题型:解答题

(本题满分13分)已知为常数),

(1)若的图象与轴有唯一的交点,求的值;

(2)若在区间[]为单调函数,求的取值范围;

(3)求在区间[0,2]内的最小值。

查看答案和解析>>

科目:高中数学 来源:2015-2016学年广东省高一上学期期中考试数学试卷(解析版) 题型:解答题

(本小题满分10分)

如图,用长为1的铁丝弯成下部为矩形,上部为半圆形的框架,若半圆半径为x,求此框架围成的面积y与x的函数式y=f (x),并求出定义域。

查看答案和解析>>

科目:高中数学 来源:2015-2016学年广东省高二上学期期中考试文科数学试卷(解析版) 题型:解答题

(本小题满分12分)

已知△的内角所对的边分别为

(1)若, 求的值;

(2)若△的面积的值.

查看答案和解析>>

科目:高中数学 来源:2015-2016学年安徽省高一上学期第一次月考数学试卷(解析版) 题型:解答题

(本小题满分12分)已知函数为常数)是奇函数.

(Ⅰ)求的值;

(Ⅱ)若当时,恒成立.求实数的取值范围.

查看答案和解析>>

科目:高中数学 来源:2015-2016学年安徽省阜阳市高二上第一次调研考文科数学试卷(解析版) 题型:填空题

用随机数表法从名学生(男生人)中抽取人进行评教,某男生被抽取的机率是__________

查看答案和解析>>

科目:高中数学 来源:2016届山东师大附中高三上学期二模文科数学试卷(解析版) 题型:选择题

是定义在同一区间上的两个函数,若函数上有两个不同的零点,则称上是“关联函数”,区间称为“关联区间”。若上是“关联函数”,则m的取值范围为( )

A. B. C. D.

查看答案和解析>>

科目:高中数学 来源:2015-2016学年四川成都七中高二10月段考文科数学试卷(解析版) 题型:解答题

已知点直角坐标平面上一动点,是平面上的定点:

(1)时,求的轨迹方程;

(2)当在线段上移动,求的最大值及点坐标.

查看答案和解析>>

同步练习册答案