精英家教网 > 高中数学 > 题目详情

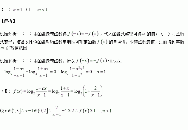
(本小题满分12分)已知函数为常数)是奇函数.

(Ⅰ)求的值;

(Ⅱ)若当时,恒成立.求实数的取值范围.

练习册系列答案
相关习题

科目:高中数学 来源:2015-2016学年内蒙古巴彦淖尔市高一10月月考数学试卷(解析版) 题型:选择题

若函数取值范围是( )

A. B. C. D.

查看答案和解析>>

科目:高中数学 来源:2015-2016学年广东省英德市高一上学期第一次月考数学试卷(解析版) 题型:选择题

若函数y=f(x)在区间(a,b)内是增函数,在区间(b,c)内也是增函数,则函数y=f(x)在区间(a,b)∪(b,c)内( )

A.必是增函数 B.必是减函数

C.是增函数或减函数 D.无法确定单调性

查看答案和解析>>

科目:高中数学 来源:2015-2016学年广东省高一上学期期中考试数学试卷(解析版) 题型:选择题

,则( ).

A. B.1 C. D.0

查看答案和解析>>

科目:高中数学 来源:2015-2016学年广东省高二上学期期中考试理科数学试卷(解析版) 题型:解答题

(本小题满分12分)

已知△的内角所对的边分别为

(1)若, 求的值;

(2)若△的面积的值.

查看答案和解析>>

科目:高中数学 来源:2015-2016学年安徽省阜阳市高二上第一次调研考文科数学试卷(解析版) 题型:解答题

一农民有基本土地2亩,根据往年经验,若种玉米,则每季每亩产量为400公斤;若种花生,则每季每亩产量为100公斤.但玉米成本较高,每季每亩240元,而花生只需80元,且花生每公斤卖5元,玉米每公斤卖3元.现该农民手头有400元,两种作物各种多少,才能获得最大收益?

查看答案和解析>>

科目:高中数学 来源:2015-2016学年安徽省阜阳市高二上第一次调研考理科数学试卷(解析版) 题型:填空题

已知命题p、q,如果的充分而不必要条件,那么q是p的_______

查看答案和解析>>

科目:高中数学 来源:2016届山东师大附中高三上学期二模理科数学试卷(解析版) 题型:填空题

直线与函数的图象交于,下列结论正确的是_________(填序号)

查看答案和解析>>

科目:高中数学 来源:2015-2016学年四川成都七中高二10月段考文科数学试卷(解析版) 题型:选择题

利用斜二测画法得到的

①三角形的直观图是三角形.

②平行四边形的直观图是平行四边形.

③正方形的直观图是正方形.

④菱形的直观图是菱形.

以上结论,正确的是( )

A.①② B.①④ C.③④ D.①②③④

查看答案和解析>>

同步练习册答案