精英家教网 > 高中数学 > 题目详情

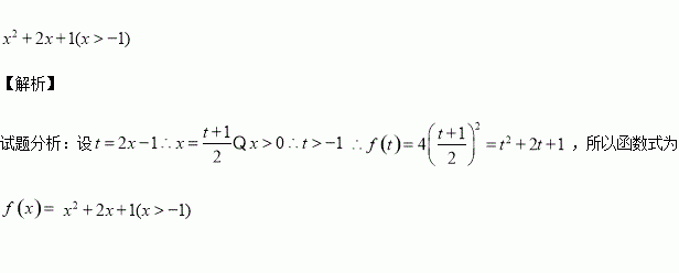
已知函数,则___ .

练习册系列答案
相关习题

科目:高中数学 来源:2016届黑龙江省高三上学期期中理科数学试卷(解析版) 题型:选择题

定义在上的函数满足下列两个条件:(1)对任意的恒有成立;(2)当 时,.记函数,若函数恰有两个零点,则实数的取值范围是( )

A. B. C. D.

查看答案和解析>>

科目:高中数学 来源:2015-2016学年河北省高一上学期一调数学试卷(解析版) 题型:选择题

关于的一元二次方程的两个实数根分别是,且,则的值是 ( )

A.5 B.-1 C.-5 D.-5或1

查看答案和解析>>

科目:高中数学 来源:2015-2016学年广东东华高中高一上学期前段段考数学试卷(解析版) 题型:选择题

有下列说法:

(1)表示同一个集合;

(2)由组成的集合可表示为

(3)方程的所有解的集合可表示为

(4)集合是有限集.

其中正确的说法是( )

A.只有(1)和(4)

B.只有(2)和(3)

C.只有(2)

D.以上四种说法都不对

查看答案和解析>>

科目:高中数学 来源:2015-2016学年四川省德阳市高二10月月考数学试卷(解析版) 题型:填空题

直线过点且在坐标轴上的截距相等,则该直线方程为________.

查看答案和解析>>

科目:高中数学 来源:2015-2016学年内蒙古巴彦淖尔市高一10月月考数学试卷(解析版) 题型:选择题

若函数取值范围是( )

A. B. C. D.

查看答案和解析>>

科目:高中数学 来源:2015-2016学年江苏省泰州市姜堰区高二上学期期中考试文科数学试卷(解析版) 题型:填空题

设p:x<3,q:-1<x<3,则p是q成立的 条件(用“充分不必要”、“必要不充分”、“充要”、“既不充分也不必要”填空).

查看答案和解析>>

科目:高中数学 来源:2015-2016学年河北省高一10月月考数学试卷(解析版) 题型:选择题

设集合A={x∈Q|x>-1},则( )

A.∈A B.A C.∈A D.{}A

查看答案和解析>>

科目:高中数学 来源:2015-2016学年广东省高二上学期期中考试理科数学试卷(解析版) 题型:解答题

(本小题满分12分)

已知△的内角所对的边分别为

(1)若, 求的值;

(2)若△的面积的值.

查看答案和解析>>

同步练习册答案