精英家教网 > 高中数学 > 题目详情

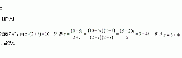
设复数满足(虚数单位),则的共轭复数为( )

A. B. C. D.

练习册系列答案
相关习题

科目:高中数学 来源:2015-2016学年河南省高一下期中数学试卷(解析版) 题型:选择题

下列程序语句正确的是( )

A.输出语句 B.输入语句

C.赋值语句 D.赋值语句

查看答案和解析>>

科目:高中数学 来源:2016届吉林省高三第八次模拟考试理科数学试卷(解析版) 题型:选择题

在平行四边形中,,若将其沿折成直二面角,则三棱锥的外接球的表面积为( )

A. B. C. D.

查看答案和解析>>

科目:高中数学 来源:2016届山东师大附中高三下学期高考模拟文科数学试卷(解析版) 题型:填空题

已知过点的直线被圆截得的弦长为6,则直线的方程为_____.

查看答案和解析>>

科目:高中数学 来源:2016届山东师大附中高三下学期高考模拟文科数学试卷(解析版) 题型:选择题

已知命题,使;命题,则下列判断正确的是( )

A.为真 B.为假 C.为真 D.为假

查看答案和解析>>

科目:高中数学 来源:2016届湖南省高三第十一次月考理科数学试卷(解析版) 题型:填空题

如图,椭圆经过点,离心率,直线的方程为.

(1)求椭圆的方程;

(2)是经过右焦点的任一弦(不经过点),设直线与直线相交于点,记的斜率分别为.问:是否存在常数,使得?若存在求的值;若不存在,说明理由.

查看答案和解析>>

科目:高中数学 来源:2016届湖南省高三第十一次月考理科数学试卷(解析版) 题型:填空题

已知某一多面体内接于球构成一个简单组合体,如果该组合体的正视图、侧视图、俯视图均如图所示,且图中的四边形是边长为2的正方形,则该球的表面积是________.

查看答案和解析>>

科目:高中数学 来源:2016届黑龙江省高三下三模理科数学试卷(解析版) 题型:解答题

已知椭圆,斜率为的动直线与椭圆交于不同的两点.

(1)设为弦的中点,求动点的轨迹方程;

(2)设为椭圆的左、右焦点,是椭圆在第一象限上一点,满足,求面积的最大值.

查看答案和解析>>

科目:高中数学 来源:2016届海南省高考模拟九文科数学试卷(解析版) 题型:选择题

是虚数单位,复数满足,则复数对应的点位于( )

A.第一象限 B.第二象限 C.第三象限 D.第四象限

查看答案和解析>>

同步练习册答案