精英家教网 > 高中数学 > 题目详情

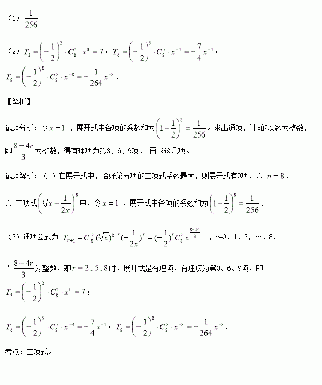
在二项式的展开式中,恰好第五项的二项式系数最大.

(1)求展开式中各项的系数和;

(2)求展开式中的有理项.

练习册系列答案
相关习题

科目:高中数学 来源:2014-2015学年广东省揭阳市高二下学期第一次段考理科数学试卷(解析版) 题型:选择题

一个几何体的三视图如图所示,已知这个几何体的体积为,则( )

A. B. C. D.

查看答案和解析>>

科目:高中数学 来源:2014-2015学年广东省高二下学期第一次质检理科数学卷(解析版) 题型:选择题

=( )

A. B.2e C. D.

查看答案和解析>>

科目:高中数学 来源:2014-2015学年福建省四地六校高二下学期第一次联考理科数学试卷(解析版) 题型:选择题

10个篮球队中有2个强队,先任意将这10个队平均分成两组进行比赛,则2个强队不分在同一组的概率是( )

A. B. C. D.

查看答案和解析>>

科目:高中数学 来源:2014-2015学年福建省四地六校高二下学期第一次联考理科数学试卷(解析版) 题型:选择题

在复平面内,复数对应的点所在的象限是( )

A.第一象限 B.第二象限 C.第三象限 D.第四象限

查看答案和解析>>

科目:高中数学 来源:2014-2015学年福建省高二下学期月考理科数学试卷(解析版) 题型:填空题

为虚数单位,复数的模是___________ .

查看答案和解析>>

科目:高中数学 来源:2014-2015学年福建省高二下学期月考理科数学试卷(解析版) 题型:选择题

设随机变量的概率分布如下,则( )

X

-1

0

1

P

p

A. B. C. D.

查看答案和解析>>

科目:高中数学 来源:2014-2015学年安徽省高一下学期第一次质量检测数学试卷(解析版) 题型:选择题

车流量被定义为单位时间内通过十字路口的车辆数,单位为 辆/分,上班高峰期某十字路口的车流量由函数 (其中)给出,的单位是辆/分,的单位是分,则在下列哪个时间段内车流量是增加的.( )

A. B. C. D.

查看答案和解析>>

科目:高中数学 来源:2014-2015学年湖北省等四校高三下学期期中文科数学试卷(解析版) 题型:填空题

已知椭圆C:,现有命题P:“若,则椭圆C的离心率为” ,记命题P和它的逆命题,否命题,逆否命题四种形式的命题中正确的命题的个数为,则

查看答案和解析>>

同步练习册答案