精英家教网 > 高中数学 > 题目详情
已知ABCD-A1B1C1D1是底面边长为1的正四棱柱,O1是A1C1和B1D1的交点。
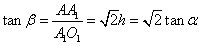
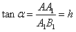
(1)设AB1与底面A1B1C1D1所成的角的大小为α,二面角A-B1D1-A1的大小为β。求证:tanβ=tanα;
(2)若点C到平面AB1D1的距离为,求正四棱柱ABCD-A1B1C1D1的高。
解:设正四棱柱的高为h
(1)连底面
与底面所成的角为,即
,O1中点


是二面角的平面角,即

(2)建立如图空间直角坐标系,有

设平面的一个法向量为
,取
∴点C到平面的距离为,则
练习册系列答案
相关习题

科目:高中数学 来源: 题型:

精英家教网已知正方体ABCD-A1B1C1D1的棱长为a,
(1)用平面A1BC1截去一角后,求剩余部分的体积;
(2)求A1B和B1C所成的角.

查看答案和解析>>

科目:高中数学 来源: 题型:

如图所示,已知在正四棱柱ABCD-A1B1C1D1中,底面边长AB=2,侧棱BB1的长为4,E为C1C上的点,且CE=1,
(1)求证:A1C⊥平面BDE;
(2)求A1B与平面BDE所成的角的正弦值.

查看答案和解析>>

科目:高中数学 来源: 题型:

如图:已知正方体ABCD-A1B1C1D1中,点F为A1D的中点.
(1)求证:A1B⊥平面AB1D;
(2)求证:平面A1B1CD⊥平面AFC.

查看答案和解析>>

科目:高中数学 来源: 题型:

已知ABCD-A1B1C1D1为正方体,①(
A1A
+
A1D1
+
A1B1
)2=3(
A1B1
)2
;②
A1C
•(
A1B1
-
A1A
)=0
;③向量
AD1
与向量
A1B
的夹角是60°;④正方体ABCD-A1B1C1D1的体积为|
AB
AA1
AD
|
.其中正确的命题是
①②
①②
(写出所有正确命题编号)

查看答案和解析>>

科目:高中数学 来源: 题型:

如图,已知正四棱柱ABCD-A1B1C1D1中,底面边长AB=2,侧棱BB1的长为4,过点B作B1C的垂线交侧棱CC1于点E,交B1C于点F.
(Ⅰ)求证:A1C⊥平面BED;
(Ⅱ)求A1B与平面BDE所成的角的正弦值.

查看答案和解析>>

同步练习册答案