精英家教网 > 高中数学 > 题目详情

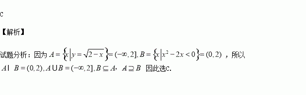
已知集合 ,则( )

A. B. C. D.

练习册系列答案
相关习题

科目:高中数学 来源:2016届安徽省高三下学期冲刺模拟理科数学A卷(解析版) 题型:解答题

选修4-4:坐标系与参数方程

在以坐标原点为极点,轴的正半轴为极轴建立的极坐标系中,曲线的极坐标方程为,正三角形的顶点都在上,且依逆时针次序排列,点的坐标为.

(1)求点的直角坐标;

(2)设是圆上的任意一点,求的取值范围.

查看答案和解析>>

科目:高中数学 来源:2016届安徽省高三下学期冲刺模拟文科数学C卷(解析版) 题型:选择题

如图,已知,用表示,则( )

A. B.

C. D.

查看答案和解析>>

科目:高中数学 来源:2016届安徽省高三下学期冲刺模拟理科数学C卷(解析版) 题型:填空题

的展开式中,的系数为 .( 用数字填写答案)

查看答案和解析>>

科目:高中数学 来源:2016届安徽省高三下学期冲刺模拟理科数学C卷(解析版) 题型:选择题

设函数,若,则的取值范围是( )

A. B.

C. D.

查看答案和解析>>

科目:高中数学 来源:2016届重庆市高三下学期模拟文科数学试卷(解析版) 题型:解答题

给定椭圆,称圆为椭圆的“伴随圆”,已知椭圆的离心率为,且经过点.

(1)求实数的值;

(2)若过点的直线与椭圆有且只有一个公共点,且被椭圆的伴随圆所截得的弦长为,求实数的值.

查看答案和解析>>

科目:高中数学 来源:2016届重庆市高三下学期模拟文科数学试卷(解析版) 题型:填空题

将某班参加社会实践编号为:1,2,3,…,48的48名学生,采用系统抽样的方法抽取一个容量为6的样本,已知5号,21号,29号,37号,45号学生在样本,则样本中还有一名学生的编号是 ____________.

查看答案和解析>>

科目:高中数学 来源:2015-2016学年宁夏六盘山高中高二下第二次月考文数学卷(解析版) 题型:解答题

在椭圆上,求点到直线的最大距离和最小距离.

查看答案和解析>>

科目:高中数学 来源:2015-2016学年辽宁省庄河市高一下期中文科数学试卷(解析版) 题型:解答题

已知的坐标分别是.(1)若,求角的值;(2)若,求的值.

查看答案和解析>>

同步练习册答案