精英家教网 > 高中数学 > 题目详情

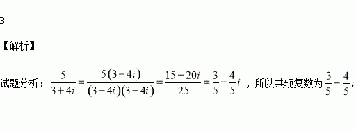
复数的共轭复数是: ( )

A. B. C. D.

练习册系列答案
相关习题

科目:高中数学 来源:2015-2016学年四川省雅安市高二下期中文科数学试卷(解析版) 题型:选择题

若复数满足,则等于( )

(A) (B) (C) (D)

查看答案和解析>>

科目:高中数学 来源:2015-2016学年安徽省高二下学期第一次检测理科数学试卷(解析版) 题型:解答题

如图所示,正方体的棱长为,线段上有两个动点,则下列结论中错误的是( ).

A.

B.//平面

C.三棱锥的体积为定值

D.异面直线所成的角为定值

查看答案和解析>>

科目:高中数学 来源:2015-2016学年广东省东莞市南开实验高二下期初考试文科数学试卷(解析版) 题型:填空题

若三角形内切圆的半径为r,三边长为a、b、c,则三角形的面积,根据类比思想,若四面体内切球半径为R,四个面的面积为S1、S2、S3、S4,则四面体的体积V=

查看答案和解析>>

科目:高中数学 来源:2015-2016学年广东省东莞市南开实验高二下期初考试文科数学试卷(解析版) 题型:选择题

如果执行如图的程序框图,输入n=6,m=4,那么输出的p等于( )

A.720 B. 240 C. 360 D.120

查看答案和解析>>

科目:高中数学 来源:2015-2016学年山东省高二下学期第一次月考文科数学试卷(解析版) 题型:解答题

气象部门提供了某地区今年六月份(30天)的日最高气温的统计表如下:

日最高气温t

(单位:℃)

t≤22℃

22℃<t≤28℃

28℃<t≤32℃

t>32℃

天数

6

12

X

Y

由于工作疏忽,统计表被墨水污染, X和Y数据不清楚,但气象部门提供的资料显示,六月份的日最高气温不高于32℃的频率为0.9.

(1)若把频率看作概率,求X,Y的值;

(2)把日最高气温高于32℃称为本地区的“高温天气”,根据已知条件完成下面2×2列联表,并据此判断是否有95%的把握认为本地区的“高温天气”与西瓜“旺销”有关?说明理由.

高温天气

非高温天气

合计

旺销

1

不旺销

6

合计

附:

P(K2≥k)

0.10

0.050

0.025

0.010

0.005

0.001

K

2.706

3.841

5.024

6.635

7.879

10.828

查看答案和解析>>

科目:高中数学 来源:2015-2016学年山东省高二下学期第一次月考文科数学试卷(解析版) 题型:选择题

函数f(x)=(x﹣1)ln|x|的图象大致为( )

查看答案和解析>>

科目:高中数学 来源:2015-2016学年山东省高二下学期第一次月考理科数学试卷(解析版) 题型:解答题

统计表明,某种型号的汽车在匀速行驶中每小时的耗油量(升)关于行驶速度(千米/小时)的函数解析式可以表示为:.已知甲、乙两地相距100千米.

(1)当汽车以40千米/小时的速度匀速行驶时,从甲地到乙地要耗油多少升?

(2)当汽车以多大的速度匀速行驶时,从甲地到乙地耗油最少?最少为多少升?

查看答案和解析>>

科目:高中数学 来源:2015-2016学年江西省宜春市高二下第一次月考文科数学试卷(解析版) 题型:解答题

已知直线的参数方程为(t为参数),以坐标原点为极点,正半轴为极轴,建立极坐标系,曲线的极坐标方程是

(1)写出直线的极坐标方程与曲线的直角坐标方程;

(2)若点是曲线上的动点,求到直线距离的最小值,并求出此时点坐标.

查看答案和解析>>

同步练习册答案