精英家教网 > 高中数学 > 题目详情

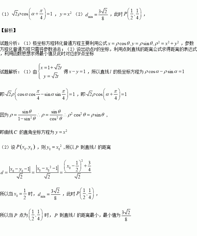
已知直线的参数方程为(t为参数),以坐标原点为极点,正半轴为极轴,建立极坐标系,曲线的极坐标方程是

(1)写出直线的极坐标方程与曲线的直角坐标方程;

(2)若点是曲线上的动点,求到直线距离的最小值,并求出此时点坐标.

练习册系列答案
相关习题

科目:高中数学 来源:2015-2016学年广东省东莞市南开实验高二下期初考试文科数学试卷(解析版) 题型:选择题

复数的共轭复数是: ( )

A. B. C. D.

查看答案和解析>>

科目:高中数学 来源:2015-2016学年山东省高二下学期第一次月考理科数学试卷(解析版) 题型:选择题

函数的单调递减区间是 ( )

A. B. C. D.

查看答案和解析>>

科目:高中数学 来源:2015-2016学年广东省东莞市南开实验高二下期初考试理科数学试卷(解析版) 题型:选择题

设函数=,其中a1,若存在唯一的整数,使得0,则的取值范围是( )

(A)[-,1) (B)[- ) (C)[ ) (D)[ ,1)

查看答案和解析>>

科目:高中数学 来源:2015-2016学年广东省东莞市南开实验高二下期初考试理科数学试卷(解析版) 题型:选择题

,则等于( )

A.-1 B.0 C.1 D.2

查看答案和解析>>

科目:高中数学 来源:2015-2016学年江西省宜春市高二下第一次月考文科数学试卷(解析版) 题型:解答题

已知,求证:

查看答案和解析>>

科目:高中数学 来源:2015-2016学年江西省宜春市高二下第一次月考文科数学试卷(解析版) 题型:选择题

的三边长分别为的面积为,内切圆半径为,则.类比这个结论可知:四面体的四个面的面积分别为,内切球的半径为,四面体的体积为,则= ( )

A. B. C. D.

查看答案和解析>>

科目:高中数学 来源:2015-2016学年江西省宜春市高二下第一次月考理科数学试卷(解析版) 题型:填空题

设函数,若对任意都有成立,则实数的取值范围是_______.

查看答案和解析>>

科目:高中数学 来源:2015-2016学年江西省高二下学期第一次月考理科数学试卷(解析版) 题型:解答题

已知数列

(1)求的值,并猜想的通项公式;

(2)用数学归纳法证明你的猜想.

查看答案和解析>>

同步练习册答案