精英家教网 > 高中数学 > 题目详情

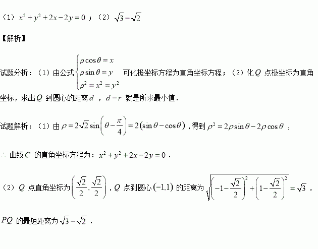
在极坐标系中,已知曲线为曲线上的动点,定点.

(1)将曲线的方程化成直角坐标方程;

(2)求两点的最短距离.

练习册系列答案
相关习题

科目:高中数学 来源:2016届宁夏高三五模考试数学(文)试卷(解析版) 题型:解答题

设函数,其中为自然对数的底数.

(1)时,求曲线在点处的切线方程;

(2)函数的导函数,求函数在区间上的最小值.

查看答案和解析>>

科目:高中数学 来源:2016届宁夏高三五模考试数学(理)试卷(解析版) 题型:选择题

的值等于( )

A. B. C.1 D.2

查看答案和解析>>

科目:高中数学 来源:2016届湖南长沙市高三月考八数学(文)试卷(解析版) 题型:选择题

已知区域,的面积为,点集在坐标系中对应区域的面积为,则的值为( )

A. B. C. D.

查看答案和解析>>

科目:高中数学 来源:2016届湖南长沙市高三月考八数学(文)试卷(解析版) 题型:选择题

阅读如图的程序框图,若运行相应的程序,则输出的的值是( )

A. B. C. D.

查看答案和解析>>

科目:高中数学 来源:2016届湖南长沙市高三月考八数学(理)试卷(解析版) 题型:解答题

如图,在四棱锥中,底面,底面是直角梯形, 上的点.

(1)求证:平面平面

(2)若的中点, 求二面角的余弦值.

查看答案和解析>>

科目:高中数学 来源:2016届湖南长沙市高三月考八数学(理)试卷(解析版) 题型:选择题

如图,分别是函数的图象与两条直线的两个交点,记,则的图象大致是( )

查看答案和解析>>

科目:高中数学 来源:2017届湖北黄石市高三9月调研数学(文)试卷(解析版) 题型:解答题

某校100名学生期中考试数学成绩的频率分布直方图如图,其中成绩分组区间如下:

组号

第一组

第二组

第三组

第四组

第五组

分组

(1)求图中的值;

(2)根据频率分布直方图,估计这100名学生期中考试数学成绩的平均分;

(3)现用分层抽样的方法从第3、4、5组中随机抽取6名学生,将该样本看成一个总体,从中随机抽取2名,求其中恰有1人的分数不低于90分的概率?

查看答案和解析>>

科目:高中数学 来源:2017届山东枣庄三中高三9月质检数学(理)试卷(解析版) 题型:解答题

已知二次函数.

(1)若,且函数的值域为,求函数的解析式;

(2)若,且函数上有两个零点, 求的取值范围.

查看答案和解析>>

同步练习册答案