精英家教网 > 高中数学 > 题目详情

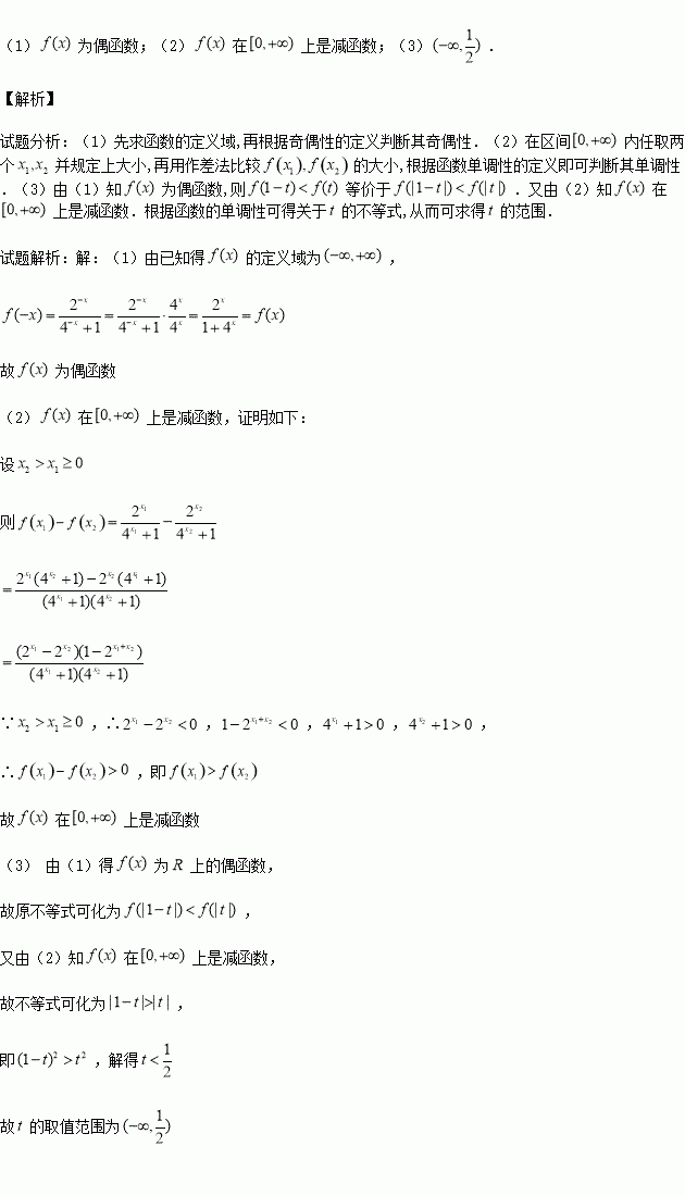
(本小题满分12分)已知函数

(1)判断的奇偶性并说明理由;

(2)判断上的单调性,并用定义证明;

(3)求满足的取值范围.

练习册系列答案
相关习题

科目:高中数学 来源:2015-2016学年辽宁省葫芦岛市高一上学期期中考试数学试卷(解析版) 题型:解答题

化简、求值:

(1)

(2)

查看答案和解析>>

科目:高中数学 来源:2015-2016学年江苏省无锡市四校高二上学期期中考试数学试卷(解析版) 题型:填空题

长方体中,,则与平面所成的角的大小为

查看答案和解析>>

科目:高中数学 来源:2015-2016学年吉林省扶余市高二上学期期中考试文科数学试卷(解析版) 题型:选择题

不等式(x—1)(2—x)≥0的解集是( )

A. B.

C. D.

查看答案和解析>>

科目:高中数学 来源:2015-2016学年湖南省高二上学期期中考试理科数学试卷(解析版) 题型:解答题

(本题10分)已知命题<,和命题,为真,为假,求实数c的取值范围.

查看答案和解析>>

科目:高中数学 来源:2015-2016学年福建省高一上学期期中考试数学试卷(解析版) 题型:选择题

下列函数中与具有相同图象的一个函数是( )

A. B. C. D.

查看答案和解析>>

科目:高中数学 来源:2015-2016学年福建省高二上学期期中考试理科数学试卷(解析版) 题型:解答题

(本小题满分10分) 在锐角△ABC中,a、b、c分别为角A、B、C所对的边,且

(1) 确定角C的大小;

(2) 若,求边的值及△ABC的面积.

查看答案和解析>>

科目:高中数学 来源:2015-2016学年山东省临沂市高二上期中模拟理数学试卷(解析版) 题型:解答题

在锐角△中,内角的对边分别为,且

(1)求角的大小。

(2)若,求△的面积。

查看答案和解析>>

科目:高中数学 来源:2015-2016学年湖北省宜昌市高二上期中文科数学试卷(解析版) 题型:选择题

已知一组数据X1,X2,X3,…,Xn的方差是S2,那么另一组数据2X1-1,2X2-1,2X3-1,…,2Xn-1

的方差是( )

A. B. C. D.

查看答案和解析>>

同步练习册答案