精英家教网 > 高中数学 > 题目详情

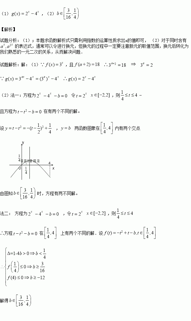
(本题满分12分)设函数,且,函数

(1)求的解析式;

(2)若方程-b=0在 [-2,2]上有两个不同的解,求实数b的取值范围.

练习册系列答案
相关习题

科目:高中数学 来源:2016届黑龙江省牡丹江市高三上学期期中文科数学试卷(解析版) 题型:解答题

如图,四棱锥中,,四边形是边长为的正方形,若分别是线段的中点.

(1)求证:∥底面

(2)若点为线段的中点,求三角形的面积.

查看答案和解析>>

科目:高中数学 来源:2015-2016学年吉林实验中学高二上学期期中文科数学试卷(解析版) 题型:填空题

若方程表示椭圆,则的取值范围是________.

查看答案和解析>>

科目:高中数学 来源:2015-2016学年湖南省常德市高一上学期期中数学试卷(解析版) 题型:选择题

上的奇函数,且当时,为常数),则( )

A.2 B. C. D.

查看答案和解析>>

科目:高中数学 来源:2015-2016学年湖北省高一上学期期中数学试卷(解析版) 题型:选择题

设集合,,定义运算,则集合的子集的个数为( )

A.3 B.4 C.8 D.16

查看答案和解析>>

科目:高中数学 来源:2015-2016学年广东省佛山市高一上学期期中数学试卷(解析版) 题型:选择题

已知a>0,且a≠1,函数y=ax与y=loga(-x)的图象只能是下图中的( )

查看答案和解析>>

科目:高中数学 来源:2015-2016学年福建省高一上学期期中数学试卷(解析版) 题型:选择题

已知函数,若函数在R上有两个不同零点,则的取值范围是( )

A. B. C. D.[

查看答案和解析>>

科目:高中数学 来源:2015-2016学年甘肃省嘉峪关市高二上学期期中考试文科数学试卷(解析版) 题型:选择题

的等比中项,则的最小值为 ( )

A. B. C. D.

查看答案和解析>>

科目:高中数学 来源:2016届河南省原名校高三上学期第一次联考理科数学试卷(解析版) 题型:选择题

下列命题中是假命题的是( )

A.,使是幂函数,且在上递减

B.函数的值域为,则

C.关于的方程至少有一个负根的充要条件是

D.函数与函数的图象关于直线对称

查看答案和解析>>

同步练习册答案