精英家教网 > 高中数学 > 题目详情

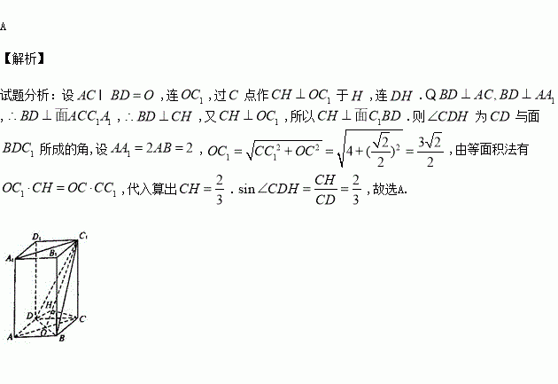
四棱柱棱中,,则与平面所成角的正弦值等于( )

A. B. C. D.

练习册系列答案
相关习题

科目:高中数学 来源:2015-2016学年湖南长郡中学高一下期中数学试卷(解析版) 题型:填空题

已知正四棱锥的体积为,底面对角线的长为,则侧面与底面所成的二面角等于

查看答案和解析>>

科目:高中数学 来源:2015-2016学年河北省高二4月月考文科数学试卷(解析版) 题型:填空题

已知函数若对任意两个不相等的正实数都有恒成立,则的取值范围是

查看答案和解析>>

科目:高中数学 来源:2015-2016学年河北省高二4月月考理科数学试卷(解析版) 题型:解答题

已知抛物线的定点为原点,其焦点到直线的距离为.设为直线上的点,过点做抛物线的两条切线,其中为切点.

(1)求抛物线的方程;

(2)当点为直线上的定点时,求直线的方程;

(3)当点在直线上移动时,求的最小值.

查看答案和解析>>

科目:高中数学 来源:2015-2016学年河北省高二4月月考理科数学试卷(解析版) 题型:填空题

查看答案和解析>>

科目:高中数学 来源:2015-2016学年河北省高二4月月考理科数学试卷(解析版) 题型:选择题

,则“” 是“” 的( )

A.充分而不必要条件 B.必要而不充分条件

C.充要条件 D.即不充分也不必要条件

查看答案和解析>>

科目:高中数学 来源:2015-2016学年山西省高二下期中文科数学试卷(解析版) 题型:解答题

已知数列.

求:(1)写出

(2)求出数列的通项公式.

查看答案和解析>>

科目:高中数学 来源:2015-2016学年山西省高二下期中文科数学试卷(解析版) 题型:选择题

下列说法正确的是( )

A.图象连续的函数在区间上一定存在最值

B.函数的极小值可能大于极大值

C.函数的最小值一定是极小值

D.函数的极小值一定是最小值

查看答案和解析>>

科目:高中数学 来源:2015-2016学年河北省高二下期中文科数学试卷(解析版) 题型:选择题

下列命题错误的是( )

A.命题“若,则” 的逆否命题为“若中至少有一个不为,则

B.若命题,则

C.命题 :若 ,则 ,命题的否命题为假

D.设集合,则“”是“”的必要不充分条件

查看答案和解析>>

同步练习册答案