精英家教网 > 高中数学 > 题目详情

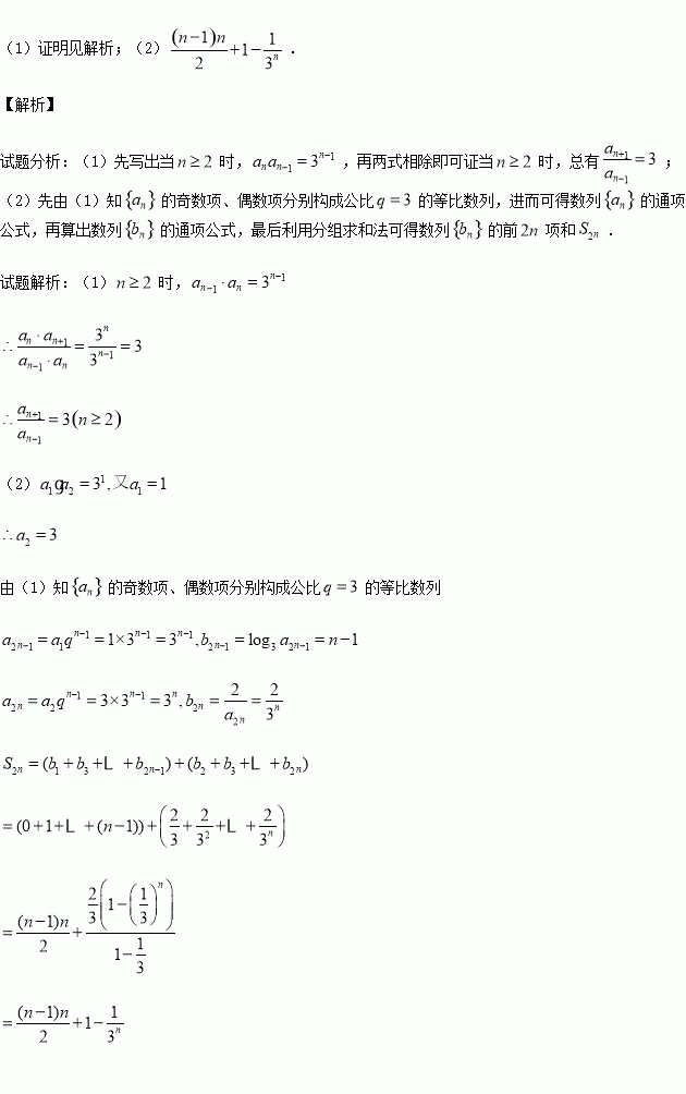
(本小题满分12分)已知数列满足,且

(1)求证:当时,总有

(2)数列满足的前项和

练习册系列答案
相关习题

科目:高中数学 来源:2014-2015学年陕西省西安市高三上学期期中考试理科数学试卷(解析版) 题型:选择题

中,,那么等于( )

A. B. C. D.

查看答案和解析>>

科目:高中数学 来源:2015-2016学年湖北荆州中学高二上学期期中文科数学试卷(解析版) 题型:填空题

过圆外一点的切线方程为

查看答案和解析>>

科目:高中数学 来源:2016届广东省惠州市高三上学期第二次调研考试理科数学试卷(解析版) 题型:填空题

中,设角的对边分别是,且,则

查看答案和解析>>

科目:高中数学 来源:2014-2015学年海南省高三下学期大测三文科数学试卷(解析版) 题型:选择题

是定义在R上的偶函数,对χ,都有,且当χ [-2,0]时,

,若在区间(-2,6]内关于χ的方程>1)恰有3个不同的实数根,

的取值范围是( )

A、(1,2) B、(2,+∞) C、(1,) D、(,2)

查看答案和解析>>

科目:高中数学 来源:2015-2016学年江苏省高一上第一次联考数学试卷(解析版) 题型:解答题

(本题满分14分)判断函数上的单调性,并给出证明.

查看答案和解析>>

科目:高中数学 来源:2015-2016学年江苏省高二上第一次联考数学试卷(解析版) 题型:填空题

由直线上的点向圆引切线,则切线长的最小值为

查看答案和解析>>

科目:高中数学 来源:2015-2016学年河北省定州市高二上学期竞赛数学试卷(解析版) 题型:选择题

从1,2,3,4这4个数中,不放回地任意取两个数,两个数都是奇数的概率是( ).

A. B. C. D.

查看答案和解析>>

科目:高中数学 来源:2014-2015学年广东省湛江市高一下学期期末考试数学试卷(解析版) 题型:选择题

下列能与的值相等的是

A. B. C. D.

查看答案和解析>>

同步练习册答案