精英家教网 > 高中数学 > 题目详情

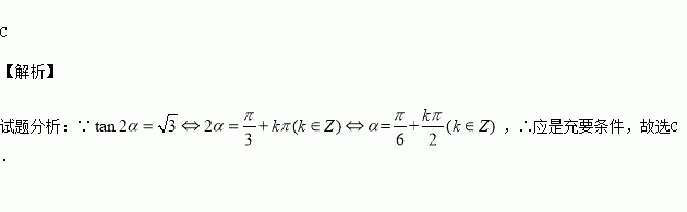
”是“”的( )

A.充分不必要条件

B.必要不充分条件

C.充要条件

D.既不充分也不必要条件

练习册系列答案
相关习题

科目:高中数学 来源:2015-2016学年广东省高二上学期期中考试理科数学试卷(解析版) 题型:解答题

(本小题满分10分)

在平面直角坐标系中,抛物线与坐标轴的交点都在圆上.

(1)求圆的方程;

(2)若线段为圆的直径,点为直线上的动点,求的最小值.

查看答案和解析>>

科目:高中数学 来源:2016届黑龙江哈尔滨六中高三上期中文科数学试卷(解析版) 题型:选择题

已知函数是定义在上的偶函数,且当时, 单调递增,

则关于的不等式的解集为( )

A.

B.

C.

D.随的值而变化

查看答案和解析>>

科目:高中数学 来源:2016届福建省高三第一次月考理科数学试卷(解析版) 题型:选择题

已知变量x,y满足约束条件,若目标函数z=y-ax仅在点(-3,0)处取到最大值,则实数a的取值范围为 ( )

A. B.(3,5) C.(-1,2) D.

查看答案和解析>>

科目:高中数学 来源:2014-2015学年浙江宁波效实中学高三上学期期中理科数学试卷(解析版) 题型:解答题

满足,则称的不动点.

(1)若函数没有不动点,求实数的取值范围;

(2)若函数的不动点,求的值;

(3)若函数有不动点,求实数的取值范围.

查看答案和解析>>

科目:高中数学 来源:2015-2016学年四川成都七中高二10月段考文科数学试卷(解析版) 题型:选择题

右图是一个几何体的三视图,根据图中数据,可得该几何体的表面积是( )

A.9 B.10 C.11 D.12

查看答案和解析>>

科目:高中数学 来源:2015-2016学年江苏省高一上期中考试数学试卷(解析版) 题型:解答题

(本小题满分14分)计算下列各式的值:

(1)

(2)

查看答案和解析>>

科目:高中数学 来源:2014-2015学年浙江省嵊州市高一下学期期末检测数学试卷(解析版) 题型:填空题

的内角所对的边长分别为,已知,则边长=

查看答案和解析>>

科目:高中数学 来源:2014-2015学年山西省高二下学期期中文科数学试卷(解析版) 题型:选择题

”是“复数为纯虚数”的( )

A.必要但不充分条件 B.充分但不必要条件

C.充要条件 D.既不充分也不必要条件

查看答案和解析>>

同步练习册答案