精英家教网 > 高中数学 > 题目详情

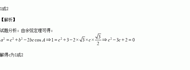
的内角所对的边长分别为,已知,则边长=

练习册系列答案
相关习题

科目:高中数学 来源:2016届山东师大附中高三上学期二模文科数学试卷(解析版) 题型:解答题

(本小题满分12分)已知等差数列的前n项和为,且

(1)求数列的通项公式与

(2)若,求数列的前n项和.

查看答案和解析>>

科目:高中数学 来源:2014-2015学年浙江宁波效实中学高三上学期期中理科数学试卷(解析版) 题型:选择题

”是“”的( )

A.充分不必要条件

B.必要不充分条件

C.充要条件

D.既不充分也不必要条件

查看答案和解析>>

科目:高中数学 来源:2015-2016学年江苏省高一上期中考试数学试卷(解析版) 题型:解答题

(本题满分15分) 已知定义在上的函数

(1)判断并证明函数的单调性;

(2)若是奇函数,求的值;

(3)若的值域为D,且,求的取值范围.

查看答案和解析>>

科目:高中数学 来源:2014-2015学年四川省高一下学期月考测文科数学试卷(解析版) 题型:选择题

函数的图象与轴交于点,过点的直线与函数的图象交于两点,则 ( )

A.32 B.16 C.8 D.4

查看答案和解析>>

科目:高中数学 来源:2014-2015学年浙江省嵊州市高一竞赛数学试卷(解析版) 题型:填空题

为偶函数,且,则实数的值为

查看答案和解析>>

科目:高中数学 来源:2014-2015学年浙江省嵊州市高二下期末检测文科数学B卷(解析版) 题型:选择题

已知为非零向量,且,则下列命题正确的个数为

(1)若,则 (2)若,则

(3)若,则 (4)若,则

A. B. C. D.

查看答案和解析>>

科目:高中数学 来源:2014-2015学年浙江省嵊州市高二下期末检测理科数学A卷(解析版) 题型:选择题

已知集合,则

A. B.

C. D.

查看答案和解析>>

科目:高中数学 来源:2014-2015学年贵州省高二上学期期中文科数学试卷(解析版) 题型:解答题

(12分)下表提供了某厂节能降耗技术改造后生产甲产品过程中记录的产量(吨)与相应的生产能耗(吨标准煤)的几组对照数据

(1)请画出上表数据的散点图;

(2)请根据上表提供的数据,求出关于的线性回归方程

(3)已知该厂技术改造前吨甲产品能耗为吨标准煤;试根据(2)求出的线性回归方程,预测生产吨甲产品的生产能耗比技术改造前降低多少吨标准煤?

查看答案和解析>>

同步练习册答案