精英家教网 > 高中数学 > 题目详情

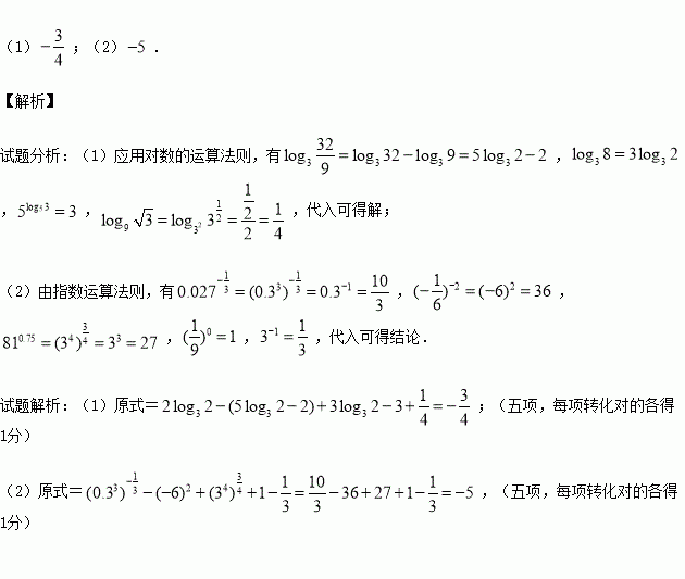
(本小题满分14分)计算下列各式的值:

(1)

(2)

练习册系列答案
相关习题

科目:高中数学 来源:2015-2016学年安徽省阜阳市高二上第一次调研考文科数学试卷(解析版) 题型:解答题

解下列不等式:

(1)-x2+2x->0;

(2)解关于x的不等式

查看答案和解析>>

科目:高中数学 来源:2016届福建省高三第一次月考文科数学试卷(解析版) 题型:选择题

函数是R上的奇函数,当时,,则当时,( )

A. B.

C. D.

查看答案和解析>>

科目:高中数学 来源:2014-2015学年浙江宁波效实中学高三上学期期中理科数学试卷(解析版) 题型:选择题

”是“”的( )

A.充分不必要条件

B.必要不充分条件

C.充要条件

D.既不充分也不必要条件

查看答案和解析>>

科目:高中数学 来源:2015-2016学年四川成都七中高二10月段考理科数学试卷(解析版) 题型:填空题

己知圆,及

轴上动点,当最大时,点坐标为

②过任作一条直线,与圆交于,则

③过任作一条直线,与圆交于,则成立

④任作一条直线与圆交于,则仍有

上述说法正确的是

查看答案和解析>>

科目:高中数学 来源:2015-2016学年江苏省高一上期中考试数学试卷(解析版) 题型:解答题

(本题满分15分) 已知定义在上的函数

(1)判断并证明函数的单调性;

(2)若是奇函数,求的值;

(3)若的值域为D,且,求的取值范围.

查看答案和解析>>

科目:高中数学 来源:2014-2015学年四川省高一下学期月考测文科数学试卷(解析版) 题型:选择题

函数的图象与轴交于点,过点的直线与函数的图象交于两点,则 ( )

A.32 B.16 C.8 D.4

查看答案和解析>>

科目:高中数学 来源:2014-2015学年浙江省嵊州市高二下期末检测文科数学B卷(解析版) 题型:选择题

已知为非零向量,且,则下列命题正确的个数为

(1)若,则 (2)若,则

(3)若,则 (4)若,则

A. B. C. D.

查看答案和解析>>

科目:高中数学 来源:2014-2015学年山西省高二上学期第一次月考数学试卷(解析版) 题型:选择题

设全集,则( ).

A. B.

C. D.

查看答案和解析>>

同步练习册答案