精英家教网 > 高中数学 > 题目详情

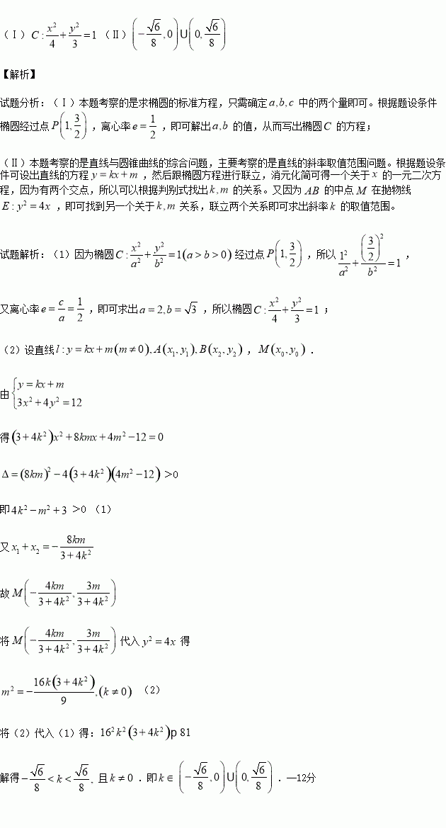
(本小题满分12分)已知椭圆经过点,离心率

(Ⅰ)求椭圆的方程;

(Ⅱ)不过原点的直线与椭圆交于两点,若的中点在抛物线上,求直线的斜率的取值范围.

练习册系列答案
相关习题

科目:高中数学 来源:2015-2016学年广东省普宁市高二上期中理科数学试卷(解析版) 题型:选择题

复数满足(其中为虚数单位),则=

A. B. C. D.

查看答案和解析>>

科目:高中数学 来源:2016届黑龙江省牡丹江市高三上学期期中文科数学试卷(解析版) 题型:解答题

选修4-5:不等式证明选讲

已知

(1)解不等式

(2)若关于的不等式对任意的恒成立,求的取值范围.

查看答案和解析>>

科目:高中数学 来源:2016届福建省高三上学期期中理科数学试卷(解析版) 题型:解答题

(本小题满分13分)设函数.已知曲线 在点处的切线与直线平行.

(Ⅰ)求的值;

(Ⅱ)是否存在自然数,使得方程内存在唯一的根?如果存在,求出;如果不存在,请说明理由;

(Ⅲ)设函数表示,中的较小值),求的最大值.

查看答案和解析>>

科目:高中数学 来源:2015-2016学年江西南昌二中高二上学期期中文科数学试卷(解析版) 题型:填空题

线段是椭圆的一动弦,且直线与直线交于点,则

查看答案和解析>>

科目:高中数学 来源:2015-2016学年吉林省高一上学期期中数学试卷(解析版) 题型:解答题

(本小题12分)已知函数

(Ⅰ)判断的奇偶性,并证明;

(Ⅱ)求使的取值范围.

查看答案和解析>>

科目:高中数学 来源:2015-2016学年吉林实验中学高二上学期期中文科数学试卷(解析版) 题型:填空题

中心在坐标原点,焦点在轴上的椭圆经过点,椭圆的两个焦点分别为F1、F2,若,则椭圆的方程为________.

查看答案和解析>>

科目:高中数学 来源:2015-2016学年湖北省高一上学期期中数学试卷(解析版) 题型:选择题

设集合,,定义运算,则集合的子集的个数为( )

A.3 B.4 C.8 D.16

查看答案和解析>>

科目:高中数学 来源:2016届山东省高三第二次诊断性考试文科数学试卷(解析版) 题型:填空题

已知偶函数满足,且当时,,若在区间内,函数有4个零点,则实数的取值范围是

查看答案和解析>>

同步练习册答案