精英家教网 > 高中数学 > 题目详情

从装有大小相同的2个红球和6个白球的袋子中,每摸出2个球为一次试验,直到摸出的球中有红球(不放回),则试验结束.

(1)求第一次试验恰摸到一个红球和一个白球概率;

(2)记试验次数为,求的分布列及数学期望

 

【答案】

(1);(2)的分布列为

1

2

3

4

【解析】

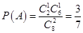
试题分析:(1)由题意知,袋子中共有8个球,记“第一次试验恰摸到一个红球和一个白球”为事件A,则根据古典概型计算公式,得.

(2)由题意知,每次试验中不放回地摸出两个球,直到摸出的球中有红球,因为袋中只有两个红球,所以最多需要进行四次试验,第一次试验的结果可能有“一个红球一个白球”或“两个红球”,第二次试验要在第一次试验没有出红球情况下进行,则袋中剩下4个白球和2个红球,结果可能为“一个红球一个白球”或“两个红球”,同理第三次试验要在前两次没有出现红球下进行,则袋中剩下2个白球和2个红球,结果能为“一个红球一个白球”或“两个红球”,第四次试验要在前三次试验没有出现红球下进行,则袋中只剩下2个红球,结果为“两个红球”,所以的值为1、2、3、4,根据古典概型的计算公式,得,从而可列出的分布列,并求出其数学期望.

试题解析:(1)

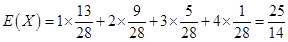
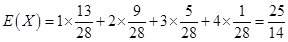
(2)由题意可知的值分别为1、2、3、4,则

所以的分布列为

的数学期望.

考点:1.古典概率;2.随机变量的分布列、数学期望.

 

练习册系列答案
相关习题

科目:高中数学 来源: 题型:

(2013•温州一模)从装有大小相同的2个红球和6个白球的袋子中,每摸出2个球为一次试验,直到摸出的球中有红球(不放回),则试验结束.
(Ⅰ)求第一次试验恰摸到一个红球和一个白球概率;
(Ⅱ)记试验次数X,求X的分布列及数学期望E(X).

查看答案和解析>>

科目:高中数学 来源:2014届浙江省高二(2-6班)下期中考试数学卷(解析版) 题型:解答题

从装有大小相同的2个红球和6个白球的袋子中,每摸出2个球为一次试验,直到摸出的球中有红球(不放回),则试验结束.

(Ⅰ)求第一次试验恰摸到一个红球和一个白球概率;

(Ⅱ)记试验次数为,求的分布列及数学期望

 

查看答案和解析>>

科目:高中数学 来源:2012-2013学年浙江省温州市高三第一次适应性测试理科数学试卷(解析版) 题型:解答题

(本题满分14分)

从装有大小相同的2个红球和6个白球的袋子中,每摸出2个球为一次试验,直到摸出的球中有红球(不放回),则试验结束.

(Ⅰ)求第一次试验恰摸到一个红球和一个白球概率;

(Ⅱ)记试验次数为,求的分布列及数学期望

 

查看答案和解析>>

科目:高中数学 来源: 题型:解答题

从装有大小相同的2个红球和6个白球的袋子中,每摸出2个球为一次试验,直到摸出的球中有红球(不放回),则试验结束.
(Ⅰ)求第一次试验恰摸到一个红球和一个白球概率;
(Ⅱ)记试验次数X,求X的分布列及数学期望E(X).

查看答案和解析>>

同步练习册答案