精英家教网 > 高中数学 > 题目详情

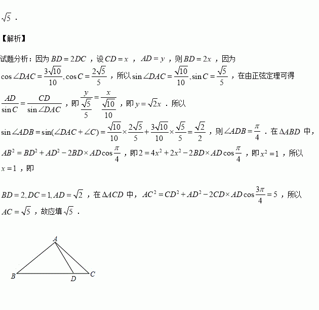
中,,点在边上,,则

练习册系列答案
相关习题

科目:高中数学 来源:2016届湖南师范大学附中高三上学期月考三文科数学试卷(解析版) 题型:解答题

已知函数

(1)求函数的单调区间;

(2)若函数在区间上的最小值为0,求的值.

(3)若对于任意恒成立,求的取值范围.

查看答案和解析>>

科目:高中数学 来源:2015-2015学年云南省玉溪市高一上学期期中数学试卷(解析版) 题型:解答题

已知集合),

(1)当时,求

(2)若,求实数的取值范围.

查看答案和解析>>

科目:高中数学 来源:2016届河北省高三上学期期中数学试卷(解析版) 题型:解答题

的内角的对边分别为,若,且,求的面积.

查看答案和解析>>

科目:高中数学 来源:2016届山东省高三11月月考数学试卷(解析版) 题型:填空题

设函数,若,则=_______.

查看答案和解析>>

科目:高中数学 来源:2016届辽宁省抚顺市高三12月月考理科数学试卷(解析版) 题型:填空题

若对,不等式恒成立,则正实数的最大值是____________.

查看答案和解析>>

科目:高中数学 来源:2016届湖南师大附中高三月考四文科数学试卷(解析版) 题型:填空题

将某班参加社会实践编号为:1,2,3,…,48的48名学生,采用系统抽样的方法抽取一个容量为6的样本,已知5号,21号,29号,37号,45号学生在样本中,则样本中还有一名学生的编号是

查看答案和解析>>

科目:高中数学 来源:2015-2016学年江西省吉安市高二上期中文科数学试卷(解析版) 题型:选择题

是椭圆的左右焦点,过点作x轴的垂线交椭圆四点构成一个正方形,则椭圆的离心率e为( )

A. B. C. D.

查看答案和解析>>

科目:高中数学 来源:2016届北京市朝阳区高三上学期期中统一考试理科数学试卷(解析版) 题型:解答题

已知函数

(Ⅰ)求的值;

(Ⅱ)求函数的单调递减区间及对称轴方程.

查看答案和解析>>

同步练习册答案