精英家教网 > 高中数学 > 题目详情
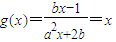
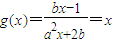
已知二次函数f(x)=ax2+bx+1和函数
(1)若f(x)为偶函数,试判断g(x)的奇偶性;
(2)若方程g(x)=x有两个不等的实根x1,x2(x1<x2),则
①试判断函数f(x)在区间(-1,1)上是否具有单调性,并说明理由;
②若方程f(x)=0的两实根为x3,x4(x3<x4),求使x3<x1<x2<x4成立的a的取值范围.
【答案】分析:(1)f(x)为偶函数,又为二次函数故b=0,a≠0,故可得出g(x)=用定义可判断出其为奇函数;
(2)①由得有不等实根,整理后得一二次方程,故可得△>0,其为一关于a,b的关系式,从中整理 得出对称轴的范围,知其不在区间(-1,1)上,故可证得函数在区间(-1,1)上具有单调性.
②方程f(x)=0为一二次函数其两实根为x3,x4(x3<x4),若x3<x1<x2<x4成立,即x1,x2在两根之间,可由根的分布的相关知识将这一关系转化为不等式,解出a的范围.
解答:解:(1)∵f(x)为偶函数,∴f(-x)=f(x),∴bx=0,∴b=0
,∴函数g(x)为奇函数;(4分)
(2)①由得方程a2x2+bx+1=0(*)有不等实根
∴△=b2-4a2>0及a≠0得(7分)
又f(x)的对称轴
故f(x)在(-1,1)上是单调函数(10分)
②x1,x2是方程(*)的根,∴a2x12+bx1+1=0
∴bx1=-a2x12-1,同理bx2=-a2x22-1
∴f(x1)=ax12+bx1+1=ax12-a2x12=(a-a2)x12
同理f(x2)=(a-a2)x22
要使x3<x1<x2<x4,只需,∴a>1
,解集为φ
故a的取值范围a>1(16分)
点评:本题考查二次函数的性质,对其奇偶性怀单调性,图象的特征都有涉及,是一道关于二次函数的综合性很强的题目.
练习册系列答案
相关习题

科目:高中数学 来源: 题型:

已知二次函数f(x)=x2+2(m-2)x+m-m2
(I)若函数的图象经过原点,且满足f(2)=0,求实数m的值.
(Ⅱ)若函数在区间[2,+∞)上为增函数,求m的取值范围.

查看答案和解析>>

科目:高中数学 来源: 题型:

已知二次函数f(x)=ax2+bx+c(a≠0)的图象过点(0,1),且与x轴有唯一的交点(-1,0).
(Ⅰ)求f(x)的表达式;
(Ⅱ)设函数F(x)=f(x)-kx,x∈[-2,2],记此函数的最小值为g(k),求g(k)的解析式.

查看答案和解析>>

科目:高中数学 来源: 题型:

已知二次函数f(x)=x2-16x+q+3.
(1)若函数在区间[-1,1]上存在零点,求实数q的取值范围;
(2)若记区间[a,b]的长度为b-a.问:是否存在常数t(t≥0),当x∈[t,10]时,f(x)的值域为区间D,且D的长度为12-t?请对你所得的结论给出证明.

查看答案和解析>>

科目:高中数学 来源: 题型:

(2013•广州一模)已知二次函数f(x)=x2+ax+m+1,关于x的不等式f(x)<(2m-1)x+1-m2的解集为(m,m+1),其中m为非零常数.设g(x)=
f(x)x-1

(1)求a的值;
(2)k(k∈R)如何取值时,函数φ(x)=g(x)-kln(x-1)存在极值点,并求出极值点;
(3)若m=1,且x>0,求证:[g(x+1)]n-g(xn+1)≥2n-2(n∈N*).

查看答案和解析>>

科目:高中数学 来源: 题型:

(1)已知二次函数f(x)的图象与x轴的两交点为(2,0),(5,0),且f(0)=10,求f(x)的解析式.
(2)已知二次函数f(x)的图象的顶点是(-1,2),且经过原点,求f(x)的解析式.

查看答案和解析>>

同步练习册答案