精英家教网 > 高中数学 > 题目详情

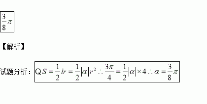
已知半径为2的扇形面积为,则扇形的圆心角为

练习册系列答案
相关习题

科目:高中数学 来源:2015-2016学年江西省高二下学期第一次月考文科数学试卷(解析版) 题型:选择题

执行如右图所示的程序框图,输出的s值为( )

A.—3 B.— C. D.2

查看答案和解析>>

科目:高中数学 来源:2015-2016学年湖北省孝感六校联盟高一下学期期中考试文科数学卷(解析版) 题型:选择题

设△ABC的内角A, B, C所对的边分别为a, b, c, 若, 则△ABC的形状为( )

A.锐角三角形 B.直角三角形 C.钝角三角形 D.不确定

查看答案和解析>>

科目:高中数学 来源:2015-2016学年上海市高一下学期第一次月考数学试卷(解析版) 题型:选择题

命题p:“α是第二象限角”,命题q:“α是钝角”,则命题p是q的( )

A.充分非必要条件 B.必要非充分条件

C.充要条件 D.既非充分又非必要条件

查看答案和解析>>

科目:高中数学 来源:2015-2016学年上海市高一下学期第一次月考数学试卷(解析版) 题型:填空题

函数的值域是

查看答案和解析>>

科目:高中数学 来源:2015-2016学年江西省高二3月月考理科数学试卷(解析版) 题型:解答题

已知双曲线C:的离心率为,实轴长为2;

(1)求双曲线C的标准方程;

(2)已知直线与双曲线C交于不同的两点A,B;且线段AB的中点在圆x2+y2=5上,求实数的值.

查看答案和解析>>

科目:高中数学 来源:2015-2016学年江西省高二3月月考理科数学试卷(解析版) 题型:选择题

已知双曲线两个焦点为分别为,过点的直线与该双曲线的右支交于两点,且是以为直角顶点的等腰直角三角形,则为( )

A. B. C. D.

查看答案和解析>>

科目:高中数学 来源:2015-2016学年江西省赣州市十三县高二下学期期中文科数学试卷(解析版) 题型:填空题

设函数满足,则 .

查看答案和解析>>

科目:高中数学 来源:2015-2016学年四川省雅安市高一下学期期中文科数学试卷(解析版) 题型:解答题

已知向量的夹角为,||=2,||=3,记,

(1)若,求实数k的值。

(2)是否存在实数k,使得?说明理由。

查看答案和解析>>

同步练习册答案