精英家教网 > 高中数学 > 题目详情

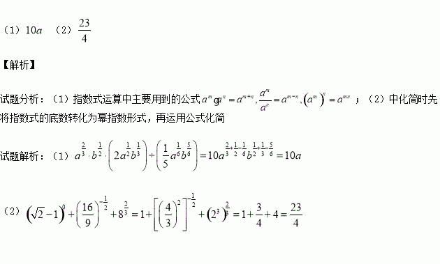
(本题6分)

(1)化简

(2)计算

练习册系列答案
相关习题

科目:高中数学 来源:2015-2016学年江苏省泰兴市高二上学期期中考试数学试卷(解析版) 题型:解答题

(本小题满分16分)已知函数

(Ⅰ)当时,求曲线在点处的切线方程;

(Ⅱ)若函数在区间上的最小值为0,求的值;

(Ⅲ)若对于任意恒成立,求的取值范围.

查看答案和解析>>

科目:高中数学 来源:2015-2016学年广东省普宁市高一上学期期中考试数学试卷(解析版) 题型:解答题

(本小题满分14分) 已知函数

(1)求函数的最小正周期;

(2)确定函数上的单调性并求在此区间上的最小值.

查看答案和解析>>

科目:高中数学 来源:2014-2015学年上海市高一下学期期末考试数学试卷(解析版) 题型:填空题

在数列中,已知,且数列是等比数列,则

查看答案和解析>>

科目:高中数学 来源:2016届浙江省高三10月月考文科数学试卷(解析版) 题型:填空题

过原点且倾斜角为的直线与圆相交,则圆的半径为___________直线被圆截得的弦长为______________

查看答案和解析>>

科目:高中数学 来源:2015-2016学年浙江省平湖市高一10月月考数学试卷(解析版) 题型:选择题

,则函数的图象一定不过 ( )

A.第一象限 B.第二象限 C.第三象限 D.第四象限

查看答案和解析>>

科目:高中数学 来源:2015-2016学年四川省高一上学期第一学月考数学试卷(解析版) 题型:选择题

设集合A=[0,),B=[,1],函数f(x)=,若x0∈A,且f[f(x0)]∈A,则x0的取值范围是( )

A.(0,] B.(] C.() D.[0,]

查看答案和解析>>

科目:高中数学 来源:2015-2016学年四川成都市六校高二上学期期中联考文科数学试卷(解析版) 题型:选择题

已知点P(x,y)是直线kx+y+4=0(k>0)上一动点,PA,PB是圆C:x2+y2-2y=0的两条切线,A,B为切点,若四边形PACB的最小面积是2,则k的值为

A.4 B.3 C.2 D.

查看答案和解析>>

科目:高中数学 来源:2015-2016学年福建厦门双十中学高二上期中文科数学试卷(解析版) 题型:填空题

设等差数列的前项和为,若,则______.

查看答案和解析>>

同步练习册答案