精英家教网 > 高中数学 > 题目详情

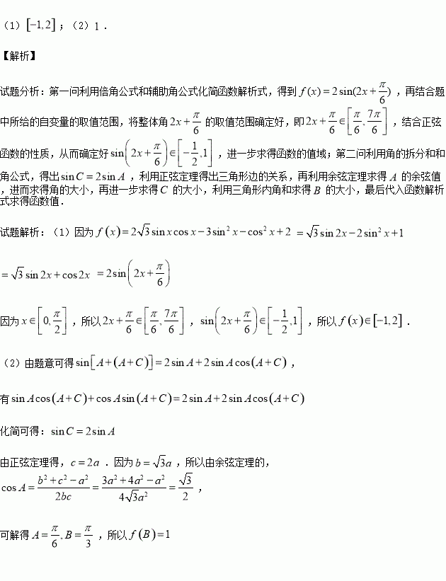
已知函数.(1)当时,求的值域;(2)若△ABC的内角A,B,C的对边分别为,且满足,求的值.

练习册系列答案
相关习题

科目:高中数学 来源:2015-2016学年湖南省高一上学期期中考试数学试卷(解析版) 题型:选择题

满足“对任意实数都成立”的函数可以是 ( )

A. B. C. D.

查看答案和解析>>

科目:高中数学 来源:2016届云南省玉溪市高三上学期期中文科数学试卷(解析版) 题型:解答题

(本小题满分12分)已知函数在点的切线方程为

(1)求函数的解析式;

(2)设时,求证:

(3)已知,求证:

查看答案和解析>>

科目:高中数学 来源:2016届辽宁省葫芦岛市高三上学期期中理科数学试卷(解析版) 题型:解答题

(本小题满分10分)已知向量,函数

(Ⅰ)求函数的最小正周期

(Ⅱ)已知分别为内角的对边,其中为锐角,,且,求的面积

查看答案和解析>>

科目:高中数学 来源:2016届辽宁省抚顺市高三上学期第一次模拟文科数学试卷(解析版) 题型:填空题

已知向量__________.

查看答案和解析>>

科目:高中数学 来源:2016届黑龙江省牡丹江市高三上学期期中文科数学试卷(解析版) 题型:选择题

已知集合,若,则实数的取值范围是( )

A. B. C. D.

查看答案和解析>>

科目:高中数学 来源:2016届贵州省贵阳市高三上学期第三次月考文科数学试卷(解析版) 题型:解答题

(本小题满分12分)如图所示,四棱锥中,底面为平行四边形,平面

(Ⅰ)证明:平面平面

(Ⅱ)在中,,点上且,求三棱锥的体积.

查看答案和解析>>

科目:高中数学 来源:2015-2016学年江西南昌二中高二上学期期中理科数学试卷(解析版) 题型:填空题

线段是椭圆的一动弦,且直线与直线交于点,则

查看答案和解析>>

科目:高中数学 来源:2015-2016学年福建省高一上学期期中数学试卷(解析版) 题型:选择题

设f(x)=3x + 3x-8,用二分法求方程3x + 3x-8=0在x∈(1,2)内近似解的过程中得f(1)<0,f(1.5)>0,f(1.25)<0,则方程的根落在区间( )

A.(1.25,1.5) B.(1,1.25) C.(1.5,2) D.不能确定

查看答案和解析>>

同步练习册答案