精英家教网 > 高中数学 > 题目详情
已知,则f(0)+f(1)+f(2)+…+f(2010)=   
【答案】分析:由已知f(x)=2cos的解析式可以知道该函数是周期函数,所以可以先取一些函数值找起规律即可.
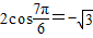
解答:解:当n=1时,f(1)=2cos =,当n=2时,f(2)=2cos ,当n=3时,,当n=4时,
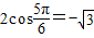
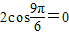
当n=5时,f(5)=;当n=6时,f(6)=,当n=7时,f(7)=
当n=8时,f(8)=,当n=9时,f(9)=,…由以上数值出现的规律可以知道,此函数的一个周期为T=12,
利用函数的周期性,而f(1)+f(2)+f(3)+…f(12)=0,
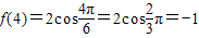
则f(0)+f(1)+f(2)+f(3)+…+f(2010)=f(0)+f(1)+f(2)+f(3)+f(4)+f(5)+f(6)=2+
故答案为:0.
点评:此题考查了求函数解析式求函数值,并利用观察法得到函数的周期,利用函数的周期性进行对于很多项函数值的求解.
练习册系列答案
相关习题

科目:高中数学 来源: 题型:

定义:已知函数f(x)与g(x),若存在一条直线y=kx+b,使得对公共定义域内的任意实数均满足g(x)≤f(x)≤kx+b恒成立,其中等号在公共点处成立,则称直线y=kx+b为曲线f(x)与g(x)的“左同旁切线”.已知f(x)=Inx,g(x)=1-
1
x

(I)证明:直线y=x-l是f(x)与g(x)的“左同旁切线”;
(Ⅱ)设P(x1,f(x1)),Q(x2,f(x2))是函数 f(x)图象上任意两点,且0<x1<x2,若存在实数x3>0,使得f′(x3)=
f(x2)-f(x1)
x2-x1
.请结合(I)中的结论证明x1<x3<x2

查看答案和解析>>

科目:高中数学 来源: 题型:解答题

已知数学公式,则f(0)+f(1)+f(2)+…+f(2010)=________.

查看答案和解析>>

科目:高中数学 来源: 题型:单选题

已知函数f(x)满足:数学公式,f(x+y)+f(x-y)=2f(x)f(y)(x,y∈R),则f(0)+f(1)+f(2)+…+f(2013)等于


  1. A.
    -1
  2. B.
    0
  3. C.
    数学公式
  4. D.
    1

查看答案和解析>>

科目:高中数学 来源:2013届黑龙江虎林高中高二下学期期中理科数学试卷(解析版) 题型:解答题

已知函数f(x)=alnx-x2+1.

(1)若曲线y=f(x)在x=1处的切线方程为4x-y+b=0,求实数a和b的值;

(2)若a<0,且对任意x1、x2∈(0,+∞),都|f(x1)-f(x2)|≥|x1-x2|,求a的取值范围.

【解析】第一问中利用f′(x)=-2x(x>0),f′(1)=a-2,又f(1)=0,所以曲线y=f(x)在x=1处的切线方程为y=(a-2)(x-1),即(a-2)x-y+2-a=0,

由已知得a-2=4,2-a=b,所以a=6,b=-4.

第二问中,利用当a<0时,f′(x)<0,∴f(x)在(0,+∞)上是减函数,

不妨设0<x1≤x2,则|f(x1)-f(x2)|=f(x1)-f(x2),|x1-x2|=x2-x1

∴|f(x1)-f(x2)|≥|x1-x2|等价于f(x1)-f(x2)≥x2-x1

即f(x1)+x1≥f(x2)+x2,结合构造函数和导数的知识来解得。

(1)f′(x)=-2x(x>0),f′(1)=a-2,又f(1)=0,所以曲线y=f(x)在x=1处的切线方程为y=(a-2)(x-1),即(a-2)x-y+2-a=0,

由已知得a-2=4,2-a=b,所以a=6,b=-4.

(2)当a<0时,f′(x)<0,∴f(x)在(0,+∞)上是减函数,

不妨设0<x1≤x2,则|f(x1)-f(x2)|=f(x1)-f(x2),|x1-x2|=x2-x1

∴|f(x1)-f(x2)|≥|x1-x2|等价于f(x1)-f(x2)≥x2-x1,即f(x1)+x1≥f(x2)+x2

令g(x)=f(x)+x=alnx-x2+x+1,g(x)在(0,+∞)上是减函数,

∵g′(x)=-2x+1=(x>0),

∴-2x2+x+a≤0在x>0时恒成立,

∴1+8a≤0,a≤-,又a<0,

∴a的取值范围是

 

查看答案和解析>>

同步练习册答案