精英家教网 > 高中数学 > 题目详情

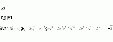
已知等比数列的公比为正数,且,则=

练习册系列答案
相关习题

科目:高中数学 来源:2015-2016学年江西省南昌市高一上学期期中考试数学试卷(解析版) 题型:选择题

设集合,则( )

A、 B、 C、 D、

查看答案和解析>>

科目:高中数学 来源:2016届山东省高三第二次诊断性考试理科数学试卷(解析版) 题型:填空题

中,角所对的边长分别为,且,则

查看答案和解析>>

科目:高中数学 来源:2015-2016学年广东省佛山市高一上学期期中数学试卷(解析版) 题型:选择题

已知,则f(-1)+f(4)的值为( )

A.-7 B.3 C.-8 D.4

查看答案和解析>>

科目:高中数学 来源:2015-2016学年江西省南昌市高一上学期期中考试数学试卷(解析版) 题型:选择题

已知上单调递减,则的取值范围是 ( )

A、 B、 C、 D、以上答案都不对

查看答案和解析>>

科目:高中数学 来源:2015-2016学年甘肃省嘉峪关市高二上学期期中考试理科数学试卷(解析版) 题型:解答题

(本小题满分12分)已知等比数列中,

(1)求数列的通项公式;

(2)若分别为等差数列的第3项和第5项,试求数列的通项公式及前项和

查看答案和解析>>

科目:高中数学 来源:2016届浙江宁波效实中学高三上期中考试文科数学试卷(解析版) 题型:填空题

数列的前项和为,则 ;数列的前10项和

查看答案和解析>>

科目:高中数学 来源:2016届河南省原名校高三上学期第一次联考理科数学试卷(解析版) 题型:选择题

为了纪念抗日战争胜利周年,从甲、乙、丙等5名候选民警中选2名作为阅兵安保人员,为9月3号的阅兵提供安保服务,则甲、乙、丙中有2个被选中的概率为( )

A. B. C. D.

查看答案和解析>>

科目:高中数学 来源:2015-2016学年福建省师大附高二上期中理科数学试卷(解析版) 题型:选择题

已知实数满足不等式组,若目标函数取得最大值时的唯一最优解是(1,3),则实数的取值范围为( )

A. B. C. D.

查看答案和解析>>

同步练习册答案