精英家教网 > 高中数学 > 题目详情

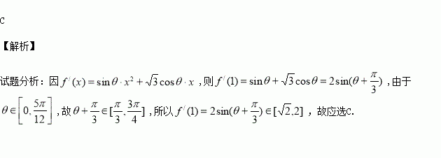
设函数,其中,则导数的取值范围是( )

A. B. C. D.

练习册系列答案
相关习题

科目:高中数学 来源:2015-2016学年山东省济宁市任城区高二下期中理科数学试卷(解析版) 题型:填空题

圆锥曲线中不同曲线的性质都是有一定联系的,比如圆可以看成特殊的椭圆,所以很多圆的性质结论可以类比到椭圆,例如:椭圆C:可以被认为由圆作纵向压缩变换或由圆作横向拉伸变换得到的.依据上述论述我们可以推出椭圆C的面积公式为

查看答案和解析>>

科目:高中数学 来源:2015-2016学年广东高州一中高二下学第一次月考理科数学试卷(解析版) 题型:填空题

计算

查看答案和解析>>

科目:高中数学 来源:2015-2016学年西藏日喀则一中高二下期末文科数学试卷(解析版) 题型:解答题

已知函数)的最大值为,且最小正周期为

(Ⅰ)求函数的解析式及其对称轴方程;

(Ⅱ)若,求的值.

查看答案和解析>>

科目:高中数学 来源:2015-2016学年西藏日喀则一中高二下期末文科数学试卷(解析版) 题型:填空题

函数)为增函数的区间是

查看答案和解析>>

科目:高中数学 来源:2015-2016学年西藏日喀则一中高二下期末文科数学试卷(解析版) 题型:选择题

已知是实数集,,则( )

A. B. C. D.

查看答案和解析>>

科目:高中数学 来源:2016届河南省高考押题一理科数学试卷(解析版) 题型:解答题

如图,是边长为3的正方形,,且.

(1)试在线段上确定一点的位置,使得

(2)求二面角的余弦值.

查看答案和解析>>

科目:高中数学 来源:2016届河南省高考押题一理科数学试卷(解析版) 题型:选择题

已知复数为虚数单位),则复数的共轭复数的虚部为( )

A. B. C. D.

查看答案和解析>>

科目:高中数学 来源:2015-2016学年广东省高二下期中理科数学试卷(解析版) 题型:选择题

已知双曲线的一条渐近线方程为,则双曲线离心率等于( )

A. B. C. D.

查看答案和解析>>

同步练习册答案