精英家教网 > 高中数学 > 题目详情

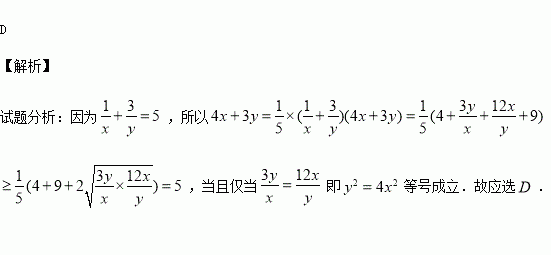
若正数,满,满足,则的最小值是( )

A.2 B.3 C.4 D.5

练习册系列答案
相关习题

科目:高中数学 来源:2016届湖南师范大学附中高三上学期月考三文科数学试卷(解析版) 题型:解答题

在西非肆虐的“埃博拉病毒”的传播速度很快,这已经成为全球性的威胁.为了考察某种埃博拉病毒疫苗的效果,现随机抽取100只小鼠进行试验,得到如下列联表:

感 染

未感染

总 计

服用

10

40

50

未服用

20

30

50

总计

30

70

100

附表:

0.10

0.05

0.025

2.706

3.841

5.024

参照附表,在犯错误的概率不超过(填百分比)的前提下,认为“小动物是否被感染与有没有服用疫苗有关” .

查看答案和解析>>

科目:高中数学 来源:2015-2015学年云南省玉溪市高一上学期期中数学试卷(解析版) 题型:填空题

已知幂函数的图象过点,则此函数的解析式为________.

查看答案和解析>>

科目:高中数学 来源:2016届河北省高三上学期期中数学试卷(解析版) 题型:选择题

已知定义在上的奇函数满足①对任意的都有成立;②当时,,则上根的个数是

A. B. C. D.

查看答案和解析>>

科目:高中数学 来源:2016届辽宁省抚顺市高三12月月考文科数学试卷(解析版) 题型:解答题

选修4—5:不等式选讲.

设函数

(1)若不等式的解集为,求的值;

(2)若存在,使,求的取值范围.

查看答案和解析>>

科目:高中数学 来源:2016届辽宁省抚顺市高三12月月考理科数学试卷(解析版) 题型:选择题

中,的三等分点,则( )

A. B. C. D.

查看答案和解析>>

科目:高中数学 来源:2016届湖南师大附中高三月考四文科数学试卷(解析版) 题型:选择题

下列函数中,的最小值为4的是( )

A.

B.

C.

D.

查看答案和解析>>

科目:高中数学 来源:2015-2016学年江西省吉安市高二上期中文科数学试卷(解析版) 题型:选择题

在空间直角坐标系中,点M的坐标是,则点M关于y轴的对称点坐标为( )

A. B. C. D.

查看答案和解析>>

科目:高中数学 来源:2016届北京市朝阳区高三上学期期中统一考试理科数学试卷(解析版) 题型:填空题

已知三个数,其中最大的数是

查看答案和解析>>

同步练习册答案