精英家教网 > 高中数学 > 题目详情
已知中心在坐标原点O的椭圆C经过点A(2,3),且点F(2,0)为其右焦点.
(1)求椭圆C的方程;
(2)是否存在平行于OA的直线l,使得直线l与椭圆C有公共点,且直线OA与l的距离等于4?若存在,求出直线l的方程;若不存在,说明理由.
【答案】分析:(1)先设出椭圆C的标准方程,进而根据焦点和椭圆的定义求得c和a,进而求得b,则椭圆的方程可得.
(2)先假设直线存在,设出直线方程与椭圆方程联立消去y,进而根据判别式大于0求得t的范围,进而根据直线OA与l的距离求得t,最后验证t不符合题意,则结论可得.
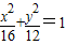
解答:解:(1)依题意,可设椭圆C的方程为(a>0,b>0),且可知左焦点为
F(-2,0),从而有,解得c=2,a=4,
又a2=b2+c2,所以b2=12,故椭圆C的方程为
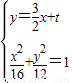
(2)假设存在符合题意的直线l,其方程为y=x+t,
得3x2+3tx+t2-12=0,
因为直线l与椭圆有公共点,所以有△=(3t)2-4×3(t2-12)≥0,解得-4≤t≤4
另一方面,由直线OA与l的距离4=,从而t=±2
由于±2∉[-4,4],所以符合题意的直线l不存在.
点评:本小题主要考查直线、椭圆等基础知识,考查运算求解能力、推理论证能力,考查函数与方程思想、数形结合思想、化归与转化思想.
练习册系列答案
相关习题

科目:高中数学 来源: 题型:

已知中心在坐标原点O的椭圆C经过点A(2,3),且点F(2,0)为其右焦点.
(1)求椭圆C的方程;
(2)是否存在平行于OA的直线l,使得直线l与椭圆C有公共点,且直线OA与l的距离等于4?若存在,求出直线l的方程;若不存在,说明理由.

查看答案和解析>>

科目:高中数学 来源: 题型:

已知中心在坐标原点O的椭圆C经过点A(3
2
,4)
,点B(
10
,2
5
)

(1)求椭圆C的方程;
(2)已知圆M:x2+(y-5)2=9,双曲线G与椭圆C有相同的焦点,它的两条渐近线恰好与圆M相切,求双曲线G的方程.

查看答案和解析>>

科目:高中数学 来源: 题型:

已知中心在坐标原点O的椭圆C经过点A(2,3),且点F(2,0)为其右焦点,
( I)求椭圆C的方程;
( I I)问是否存在直线l:y=
32
x+t
,使直线l与椭圆C有公共点,且原点到直线l的距离为4?若存在,求出l的方程;若不存在,说明理由.

查看答案和解析>>

科目:高中数学 来源: 题型:

已知中心在坐标原点O,焦点在x轴上,长轴长是短轴长的2倍的椭圆经过点M=(2,1).
(Ⅰ)求椭圆的方程;
(Ⅱ)直线l平行于OM,且与椭圆交于A、B两个不同点.
(ⅰ)若∠AOB为钝角,求直线l在y轴上的截距m的取值范围;
(ⅱ)求证直线MA、MB与x轴围成的三角形总是等腰三角形.

查看答案和解析>>

科目:高中数学 来源: 题型:

(2010福建理数)17.(本小题满分13分)

已知中心在坐标原点O的椭圆C经过点A(2,3),且点F(2,0)为其右焦点。

(1)求椭圆C的方程;

(2)是否存在平行于OA的直线,使得直线与椭圆C有公共点,且直线OA与的距离等于4?若存在,求出直线的方程;若不存在,请说明理由。

查看答案和解析>>

同步练习册答案