精英家教网 > 高中数学 > 题目详情

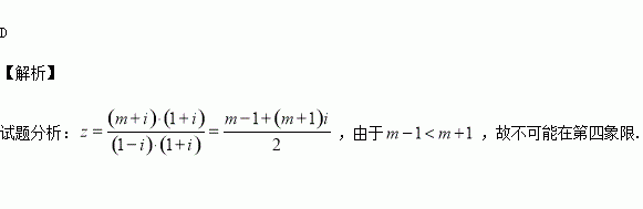
为虚数单位)在复平面上的点不可能位于( )

A. 第一象限 B. 第二象限 C. 第三象限 D. 第四象限

练习册系列答案
相关习题

科目:高中数学 来源:2016届浙江省高三5月高考模拟文科数学试卷(解析版) 题型:选择题

已知某几何体的三视图如图所示,则该几何体的表面积为( )

A.16 B.26 C.32 D.

查看答案和解析>>

科目:高中数学 来源:2016届湖北省沙市高三考前最后一卷文科数学试卷(解析版) 题型:选择题

如图给出的是计算的值的一个程序框图,则图中执行框中的①处和判断框中的②处应填的语句是( )

A. B.

C. D.

查看答案和解析>>

科目:高中数学 来源:2016届湖北省沙市高三考前最后一卷理科数学试卷(解析版) 题型:填空题

已知函数的图象与直线以及x轴所围成的图形的面积为,则的展开式中的常数项为__________(用数字作答).

查看答案和解析>>

科目:高中数学 来源:2016届湖北省沙市高三考前最后一卷理科数学试卷(解析版) 题型:选择题

已知函数是偶函数,则下列结论可能成立的是( )

A. B.

C. D.

查看答案和解析>>

科目:高中数学 来源:2015-2016学年广东省佛山市高一下第一次月考数学试卷(解析版) 题型:解答题

已知的周长为,且

(Ⅰ)求边的长;

(Ⅱ)若的面积为,求角的度数.

查看答案和解析>>

科目:高中数学 来源:2015-2016学年广东省佛山市高一下第一次月考数学试卷(解析版) 题型:选择题

中,已知D是AB边上一点,若,则等于( )

A. B. C. D.

查看答案和解析>>

科目:高中数学 来源:2015-2016学年福建福州五校高一下期中联考数学试卷(解析版) 题型:填空题

如图,一不规则区域内,有一边长为1米的正方形,向区域内随机地撒1000颗黄豆,数得落在正方形区域内(含边界)的黄豆数为360颗,以此实验数据1000为依据可以估计出该不规则图形的面积为 平方米(用分数作答)

查看答案和解析>>

科目:高中数学 来源:2015-2016学年福建福州五校高二下期中理科数学试卷(解析版) 题型:选择题

函数的图象大致是( )

查看答案和解析>>

同步练习册答案