精英家教网 > 高中数学 > 题目详情

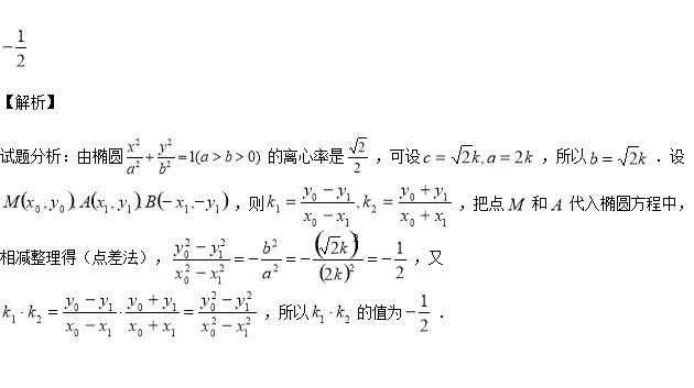
已知椭圆的离心率是,过椭圆上一点作直线交椭圆于两点,且斜率分别为,若点关于原点对称,则的值为

练习册系列答案
相关习题

科目:高中数学 来源:2016届浙江宁波效实中学高三上期中考试理科数学试卷(解析版) 题型:填空题

已知数列的各项均为正整数,其前项和为,若,则

查看答案和解析>>

科目:高中数学 来源:2015-2016学年湖北省高二上期中文科数学试卷(解析版) 题型:解答题

(本小题满分10分)设命题p:函数的定义域为R, 命题q:双曲线的离心率,

(1)如果p是真命题,求实数的取值范围;

(2)如果命题“p或q”为真命题,且“p且q”为假命题,求实数的取值范围.

查看答案和解析>>

科目:高中数学 来源:2015-2016学年陕西省高二上学期期中考试数学试卷(解析版) 题型:填空题

查看答案和解析>>

科目:高中数学 来源:2015-2016学年辽宁省大连市高二10月月考数学试卷(解析版) 题型:选择题

根据框图,对大于2的整数N,输出的数列的通项公式是( )

A B. C. D.

查看答案和解析>>

科目:高中数学 来源:2015-2016学年湖北省枣阳市高二10月月考理科数学试卷(解析版) 题型:填空题

高三(1)班班委会由4名男生和3名女生组成,现从中任选3人参加上海市某社区敬老服务工作,则选出的人中至少有一名女生的概率是_____________.(结果用最简分数表示)

查看答案和解析>>

科目:高中数学 来源:2015-2016学年湖北省高二上学期期中理科数学试卷(解析版) 题型:选择题

下列命题中为真命题的是( )

A.命题“若,则”的逆命题

B.命题“若,则”的否命题

C.命题“若,则

D.命题“若,则”的逆否命题

查看答案和解析>>

科目:高中数学 来源:2015-2016学年广东省英德市高二上学期第一次月考理科数学试卷(解析版) 题型:选择题

二次不等式ax2+bx+1>0的解集为,则ab的值为( )

A.-6 B.6 C.-5 D.5

查看答案和解析>>

科目:高中数学 来源:2015-2016学年四川成都市六校高一上学期期中联考数学试卷(解析版) 题型:选择题

已知函数,则( )

A. B. C. D.

查看答案和解析>>

同步练习册答案