精英家教网 > 高中数学 > 题目详情

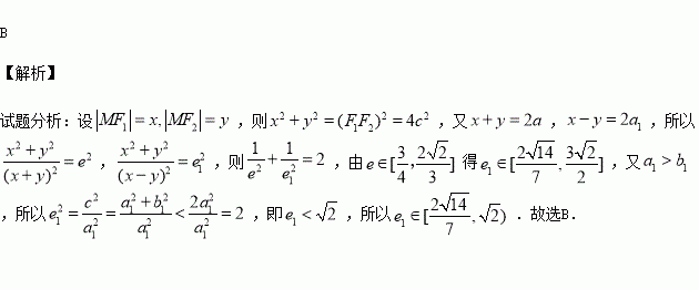
分别为椭圆)与双曲线)的公共焦点,它们在第一象限内交于点,若椭圆的离心率,则双曲线的离心率的取值范围为( )

A. B. C. D.

练习册系列答案
相关习题

科目:高中数学 来源:2015-2016学年安徽省高二下周末检测三文数学卷(解析版) 题型:选择题

设方程和方程的根分别为,函数,则( )

A. B.

C. D.

查看答案和解析>>

科目:高中数学 来源:2015-2016学年福建上杭一中高一下期末模拟二数学试卷(解析版) 题型:填空题

已知是三角形的一个内角,且是关于的方程的两根,则等于

查看答案和解析>>

科目:高中数学 来源:2016届辽宁省高三四模文科数学试卷(解析版) 题型:解答题

在直角坐标系中,圆的参数方程为为参数),以为极点轴的非负半轴为极轴建立极坐标系.

(1)求圆的极坐标方程;

(2)直线的极坐标方程是,射线与圆的交点为,与直线的交点为,求线段的长.

查看答案和解析>>

科目:高中数学 来源:2016届辽宁省高三四模文科数学试卷(解析版) 题型:填空题

中,,且,则的面积为________.

查看答案和解析>>

科目:高中数学 来源:2016届辽宁省高三四模文科数学试卷(解析版) 题型:选择题

对任意的非零实数,若的运算原理如图所示,且表示中的最小值,则的值为( )

A.0 B.1 C. D.

查看答案和解析>>

科目:高中数学 来源:2016届辽宁省高三四模理科数学试卷(解析版) 题型:解答题

在直角坐标系中,圆的参数方程为为参数),以为极点轴的非负半轴为极轴建立极坐标系.

(1)求圆的极坐标方程;

(2)直线的极坐标方程是,射线与圆的交点为,与直线的交点为,求线段的长.

查看答案和解析>>

科目:高中数学 来源:2016届辽宁省高三四模理科数学试卷(解析版) 题型:选择题

对任意的非零实数,若的运算原理如图所示,且表示中的最小值,则的值为( )

A.0 B.1 C. D.

查看答案和解析>>

科目:高中数学 来源:2015-2016学年广西桂林十八中高二下期中文科数学试卷(解析版) 题型:选择题

中,内角所对的边分别为,已知的面积为的值为

A. B. C. D.

查看答案和解析>>

同步练习册答案