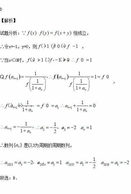
精英家教网 > 高中数学 > 题目详情

已知函数的定义域的,当时,,且对任意的实数,等式成立,若数列满足,(),且,则下列结论成立的是( )

A.B.C.D.

练习册系列答案
相关习题

科目:高中数学 来源:2015-2016学年吉林省高二下期中文科数学试卷(解析版) 题型:选择题

已知函数的定义域为的导函数,且满足,则不等式的解集是( )

A. B. C. D.

查看答案和解析>>

科目:高中数学 来源:2016届河南省洛阳市高三考前练习二文科数学试卷(解析版) 题型:解答题

中,设内角的对边分别为.

(1)求角

(2)若,求的面积.

查看答案和解析>>

科目:高中数学 来源:2016届河南省洛阳市高三考前练习二理科数学试卷(解析版) 题型:解答题

选修4-5:不等式选讲

已知,不等式的解集为.

(1)求

(2)当时,证明:.

查看答案和解析>>

科目:高中数学 来源:2016届河南省洛阳市高三考前练习二理科数学试卷(解析版) 题型:解答题

的三个内角所对的边分别为,且.

(1)求

(2)若,求角.

查看答案和解析>>

科目:高中数学 来源:2016届河南省洛阳市高三考前练习二理科数学试卷(解析版) 题型:选择题

如图所示方格,在每一个方格中填入一个数字,数字可以是1,2,3,4中的任何一个,允许重复,若填入方格的数字大于方格的数字,则不同的填法共有( )

A.192种 B.128种 C.96种 D.12种

查看答案和解析>>

科目:高中数学 来源:2016届浙江省杭州市高三5月模拟理科数学试卷(解析版) 题型:解答题

已知数列满足:.

(1)证明:

(2)求证:.

查看答案和解析>>

科目:高中数学 来源:2016届浙江省杭州市高三5月模拟理科数学试卷(解析版) 题型:选择题

若“” 是 “” 的充分不必要条件,则 的取值范围是( )

A. B. C. D.

查看答案和解析>>

科目:高中数学 来源:2016届山东省高三第六次月考文科数学试卷(解析版) 题型:选择题

设变量满足约束条件,则的最大值为( )

A. B. C. D.

查看答案和解析>>

同步练习册答案