精英家教网 > 高中数学 > 题目详情

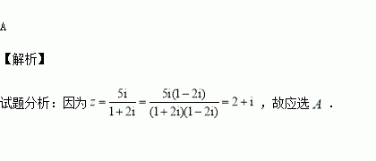
A. B. C. D.

练习册系列答案
相关习题

科目:高中数学 来源:2015-2016学年海南省高一上第三次月考数学试卷(解析版) 题型:选择题

函数的定义域是( )

A.

B.

C.

D.

查看答案和解析>>

科目:高中数学 来源:2015-2016学年广西桂林市高一上期中数学试卷(解析版) 题型:选择题

已知,则( )

A. B. C. D.

查看答案和解析>>

科目:高中数学 来源:2015-2016学年安徽省蚌埠市高二上期中文科数学试卷(解析版) 题型:选择题

下列叙述中正确的个数是( )

①若,则

②三点确定一个平面;

③若直线,则直线能够确定一个平面;

④若,则

A.1 B.2 C.3 D.4

查看答案和解析>>

科目:高中数学 来源:2016届云南师范大附中高考适应性月考三文科数学试卷(解析版) 题型:解答题

已知椭圆的焦点在轴上,离心率等于,且过点

(Ⅰ)求椭圆的标准方程;

(Ⅱ)过椭圆的右焦点作直线交椭圆两点,交轴于点,若,求证:为定值.

查看答案和解析>>

科目:高中数学 来源:2016届云南师范大附中高考适应性月考三理科数学试卷(解析版) 题型:选择题

若椭圆的离心率为,则双曲线的渐近线方程为

A. B. C. D.

查看答案和解析>>

科目:高中数学 来源:2016届山西省高三上期中理科数学试卷(解析版) 题型:解答题

设函数

(1)若存在最大值,且,求的取值范围;

(2)当时,试问方程是否有实数根,若有,求出所有实数根;若没有,请说明理由.

查看答案和解析>>

科目:高中数学 来源:2016届内蒙古赤峰二中高三上12月月考理科数学试卷(解析版) 题型:解答题

如图,⊙的半径为 6,线段与⊙相交于点与⊙相交于点

(1) 求长;

(2)当时,求证:

查看答案和解析>>

科目:高中数学 来源:2016届安徽省高三上第五次月考理科数学试卷(解析版) 题型:解答题

已知抛物线,过点的直线交C于A,B两点,抛物线C在点A处的切线与在点B处的切线交于点P.

(1)若直线的斜率为1,求

(2)求面积的最小值.

查看答案和解析>>

同步练习册答案