精英家教网 > 高中数学 > 题目详情

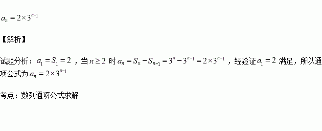
已知等比数列{an}的前n项和,则{an}的通项公式是

练习册系列答案
相关习题

科目:高中数学 来源:2015-2016学年贵州遵义航天高中高二上学期期中数学试卷(解析版) 题型:填空题

与x轴相切并和圆x2+y2=1外切的圆的圆心的轨迹方程是________.

查看答案和解析>>

科目:高中数学 来源:2015-2016学年辽宁省葫芦岛市高一上学期期中考试数学试卷(解析版) 题型:解答题

化简、求值:

(1)

(2)

查看答案和解析>>

科目:高中数学 来源:2015-2016学年黑龙江省高二上学期期中数学试卷(解析版) 题型:解答题

求满足下列条件的直线的方程。

(1)经过两条直线2x-3y+10=0和3x+4y-2=0交点,且垂直于直线3x-2y+4=0;

(2)经过两条直线2x+y-8=0和x-2y+1=0交点,且平行于直线4x-3y-7=0;

查看答案和解析>>

科目:高中数学 来源:2015-2016学年广东省清远市实验学校高二上学期期中数学试卷(解析版) 题型:填空题

有A、B、C三种零件,其中B种零件300个,C种零件200个,采用分层抽样方法抽取一个容量为45的样本,A种零件被抽取20个, C种零件被抽取10个,三种零件总共有________个。

查看答案和解析>>

科目:高中数学 来源:2015-2016学年山东省高一上学期期中模块考试数学试卷(解析版) 题型:解答题

已知集合,集合

(1)当 时,求集合

(2)若,求实数的取值范围。

查看答案和解析>>

科目:高中数学 来源:2015-2016学年江苏省无锡市四校高二上学期期中考试数学试卷(解析版) 题型:填空题

长方体中,,则与平面所成的角的大小为

查看答案和解析>>

科目:高中数学 来源:2015-2016学年吉林省扶余市高二上学期期中考试文科数学试卷(解析版) 题型:选择题

不等式(x—1)(2—x)≥0的解集是( )

A. B.

C. D.

查看答案和解析>>

科目:高中数学 来源:2015-2016学年山东省临沂市高二上期中模拟理数学试卷(解析版) 题型:解答题

在锐角△中,内角的对边分别为,且

(1)求角的大小。

(2)若,求△的面积。

查看答案和解析>>

同步练习册答案