精英家教网 > 高中数学 > 题目详情
已知(a>0且a≠1)。
(1)求f(x)的定义域;
(2)判断f(x)的奇偶性;
(3)求使f(x)>0的x的取值范围。
解:(1)(x+1)(x-1)<0-1<x<1,
∴f(x)的定义域为(-1,1)。
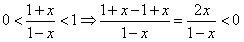
(2)
∴f(x)是定义域上的奇函数。
(3)
当a>1时,x(x-1)<00<x<1;
当0<a<1时时,x(x-1) >0x>1或x<0且-1<x<1
-1<x<0。
练习册系列答案
相关习题

科目:高中数学 来源: 题型:

已知a>0且a≠1,设p:函数y=ax在R上单调递增,q:设函数y=
2x-2a,(x≥2a)
2a,(x<2a)
,函数y≥1恒成立,若p∧q为假,p∨q为真,求实数a的取值范围.

查看答案和解析>>

科目:高中数学 来源: 题型:

(2013•普陀区二模)已知a>0且a≠1,函数f(x)=loga(x+1),g(x)=loga
11-x
,记F(x)=2f(x)+g(x)
(1)求函数F(x)的定义域D及其零点;
(2)若关于x的方程F(x)-m=0在区间[0,1)内有解,求实数m的取值范围.

查看答案和解析>>

科目:高中数学 来源: 题型:

已知a>0且a≠1,则使方程loga(x-ak)=loga2(x2-a2)有解时的k的取值范围为
(-∞,-1)∪(0,1)
(-∞,-1)∪(0,1)

查看答案和解析>>

科目:高中数学 来源: 题型:

已知a>0且a≠1,函数f(x)=loga(x+1),g(x)=loga
11-x
,记F(x)=2f(x)+g(x)
(1)求函数F(x)的定义域D及其零点;
(2)试讨论函数F(x)在定义域D上的单调性;
(3)若关于x的方程F(x)-2m2+3m+5=0在区间[0,1)内仅有一解,求实数m的取值范围.

查看答案和解析>>

科目:高中数学 来源:普陀区二模 题型:解答题

已知a>0且a≠1,函数f(x)=loga(x+1),g(x)=loga
1
1-x
,记F(x)=2f(x)+g(x)
(1)求函数F(x)的定义域D及其零点;
(2)若关于x的方程F(x)-m=0在区间[0,1)内有解,求实数m的取值范围.

查看答案和解析>>

同步练习册答案