精英家教网 > 高中数学 > 题目详情

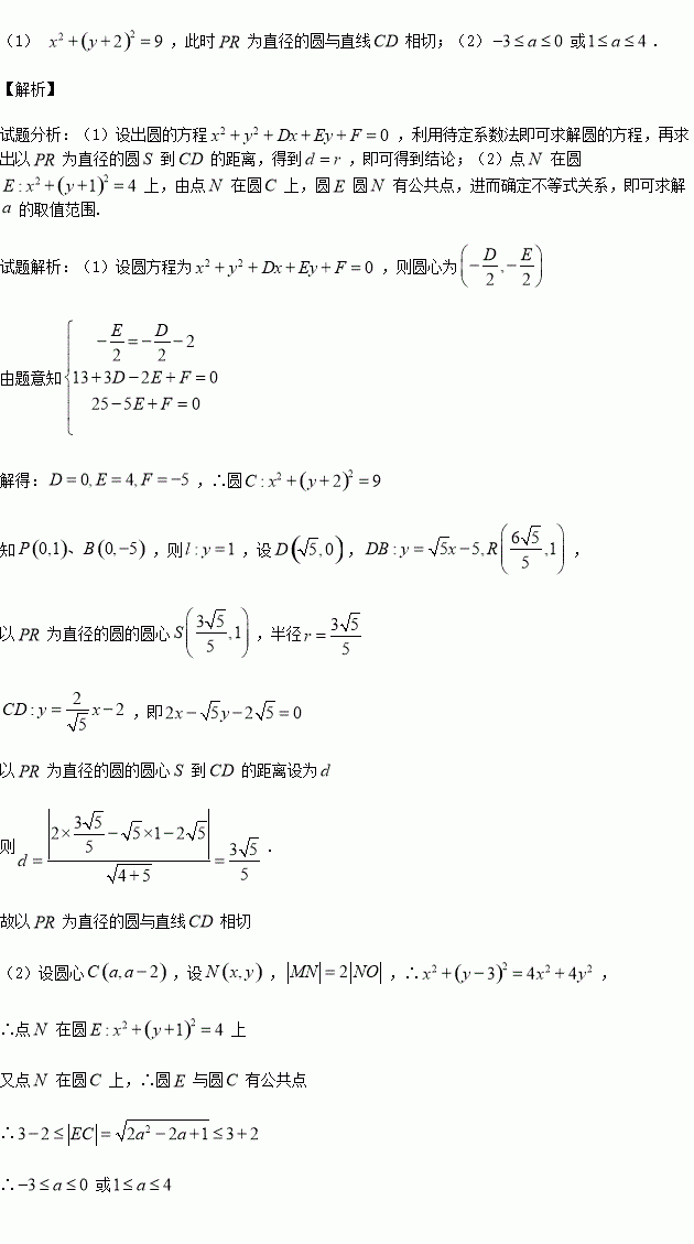
已知圆的圆心在直线上.

(1)若圆经过两点,且与轴与另一交点为,直线过点且与圆相切.设是圆轴正半轴的交点,直线与直线交于点.试求圆的方程,并判断以为直径的圆与直线的位置关系(说明理由);

(2)设点,若圆半径为3,且圆上存在点,使,求圆心的横坐标的取值范围.

练习册系列答案
相关习题

科目:高中数学 来源:2015-2016学年重庆市高一下期中理科数学试卷(解析版) 题型:解答题

已知,点在函数的图像上,其中.

(1)证明:数列是等比数列;

(2)记,求数列的前项和.

查看答案和解析>>

科目:高中数学 来源:2015-2016学年重庆市高二下期中文科数学试卷(解析版) 题型:选择题

在极坐标系中的点到圆的圆心的距离为( )

A. B. C. D.

查看答案和解析>>

科目:高中数学 来源:2015-2016学年重庆市高二下期中理科数学试卷(解析版) 题型:选择题

已知拋物线的焦点是,准线是是拋物线上一点,则经过点且与相切的圆的个数可能是( )

A. B. C. D.

查看答案和解析>>

科目:高中数学 来源:2015-2016学年重庆市高二下期中理科数学试卷(解析版) 题型:选择题

一个几何体的三视图如图所示,该几何体的表面积为( )

A. B. C. D.

查看答案和解析>>

科目:高中数学 来源:2015-2016学年河北省高二下期中文科数学试卷(解析版) 题型:解答题

(1)求过原点且倾斜有为60°的直线被圆所截得的弦长.

(2)解不等式.

查看答案和解析>>

科目:高中数学 来源:2015-2016学年河北省高二下期中文科数学试卷(解析版) 题型:选择题

中,,在上任取一点,则使是以为钝角的三角形的概率为( )

A. B. C. D.

查看答案和解析>>

科目:高中数学 来源:2015-2016学年河北省高二下期中理科数学试卷(解析版) 题型:填空题

不等式的解集为_________.

查看答案和解析>>

科目:高中数学 来源:2015-2016学年贵州省高二下期中理科数学试卷(解析版) 题型:解答题

中,已知角所对的边分别为,直线与直线互相平行(其中).

(1)求角的值;

(2)若,求的取值范围.

查看答案和解析>>

同步练习册答案