精英家教网 > 高中数学 > 题目详情

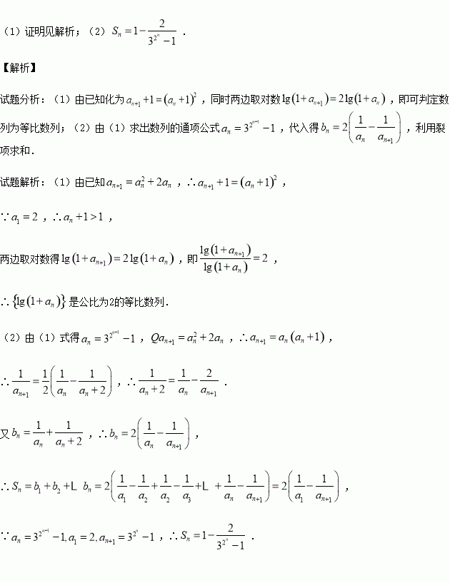
已知,点在函数的图像上,其中.

(1)证明:数列是等比数列;

(2)记,求数列的前项和.

练习册系列答案
相关习题

科目:高中数学 来源:2015-2016学年河北石家庄一中高二下第二次月考文数学卷(解析版) 题型:解答题

已知函数处的切线与直线垂直,函数

(1)求实数的值;

(2)若函数存在单调递减区间,求实数的取值范围;

(3)设是函数的两个极值点,若,求的最小值.

查看答案和解析>>

科目:高中数学 来源:2015-2016学年河北石家庄一中高二下第二次月考理数学卷(解析版) 题型:选择题

是不同的直线,是不同的平面,则下列命题中,错误的是( )

A.若,则

B.若,则

C.若,则

D.若,则

查看答案和解析>>

科目:高中数学 来源:2015-2016学年重庆市高一下期中文科数学试卷(解析版) 题型:选择题

已知数列的前项和为,且,则( )

A.3024 B.1007 C.2015 D.2016

查看答案和解析>>

科目:高中数学 来源:2015-2016学年重庆市高一下期中文科数学试卷(解析版) 题型:选择题

在等差数列中,,数列是等比数列,且,则的值为( )

A.2 B.4 C.8 D.16

查看答案和解析>>

科目:高中数学 来源:2015-2016学年重庆市高一下期中理科数学试卷(解析版) 题型:解答题

已知的夹角为.

(1)求

(2)求为何值时,.

查看答案和解析>>

科目:高中数学 来源:2015-2016学年重庆市高一下期中理科数学试卷(解析版) 题型:选择题

设正数满足:,则的最小值为( )

A. B. C.4 D.2

查看答案和解析>>

科目:高中数学 来源:2015-2016学年重庆市高二下期中文科数学试卷(解析版) 题型:解答题

已知集合.

(1)求

(2)若,求实数的取值范围.

查看答案和解析>>

科目:高中数学 来源:2015-2016学年河北省高二下期中文科数学试卷(解析版) 题型:解答题

已知圆的圆心在直线上.

(1)若圆经过两点,且与轴与另一交点为,直线过点且与圆相切.设是圆轴正半轴的交点,直线与直线交于点.试求圆的方程,并判断以为直径的圆与直线的位置关系(说明理由);

(2)设点,若圆半径为3,且圆上存在点,使,求圆心的横坐标的取值范围.

查看答案和解析>>

同步练习册答案