精英家教网 > 高中数学 > 题目详情

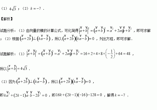
已知的夹角为.

(1)求

(2)求为何值时,.

练习册系列答案
相关习题

科目:高中数学 来源:2015-2016学年河北石家庄一中高二下第二次月考文数学卷(解析版) 题型:解答题

已知直线为参数),以坐标原点为极点,轴的非负半轴为极轴建立极坐标系,曲线C的极坐标方程为.

(1)将曲线的极坐标方程化为直角坐标方程;

(2)设点的直角坐标为,直线与曲线的交点为,求的值.

查看答案和解析>>

科目:高中数学 来源:2015-2016学年重庆市高一下期中文科数学试卷(解析版) 题型:填空题

已知等差数列的前项和为,若,则的最小值为_________.

查看答案和解析>>

科目:高中数学 来源:2015-2016学年重庆市高一下期中文科数学试卷(解析版) 题型:选择题

已知数列的前项和为,则( )

A.20 B.15 C.10 D.-5

查看答案和解析>>

科目:高中数学 来源:2015-2016学年重庆市高一下期中理科数学试卷(解析版) 题型:解答题

已知,点在函数的图像上,其中.

(1)证明:数列是等比数列;

(2)记,求数列的前项和.

查看答案和解析>>

科目:高中数学 来源:2015-2016学年重庆市高一下期中理科数学试卷(解析版) 题型:选择题

已知实数满足,设,则的取值范围是( )

A. B. C. D.

查看答案和解析>>

科目:高中数学 来源:2015-2016学年重庆市高一下期中理科数学试卷(解析版) 题型:选择题

中,内角所对应的边分别为,若,且成等比数列,则的值为( )

A. B. C.2 D.4

查看答案和解析>>

科目:高中数学 来源:2015-2016学年重庆市高二下期中文科数学试卷(解析版) 题型:选择题

设函数则满足的取值范围是( )

A. B. C. D.

查看答案和解析>>

科目:高中数学 来源:2015-2016学年河北省高二下期中文科数学试卷(解析版) 题型:解答题

(1)求过原点且倾斜有为60°的直线被圆所截得的弦长.

(2)解不等式.

查看答案和解析>>

同步练习册答案