精英家教网 > 高中数学 > 题目详情

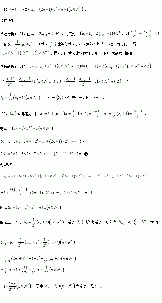
数列满足.

(1)已知,若数列成等差数列,求实数

(2)求数列的前项和.

练习册系列答案
相关习题

科目:高中数学 来源:2015-2016学年河北石家庄一中高二下第二次月考文数学卷(解析版) 题型:解答题

在三棱锥中,是等边三角形,

(1)证明:

(2)若,且平面平面,求三棱锥的体积.

查看答案和解析>>

科目:高中数学 来源:2015-2016学年河北石家庄一中高二下第二次月考理数学卷(解析版) 题型:选择题

是虚数单位,复数( )

A. B. C. D.

查看答案和解析>>

科目:高中数学 来源:2015-2016学年重庆市高一下期中文科数学试卷(解析版) 题型:选择题

中,角所对的边分别为,若,则( )

A. B.

C. D.的大小关系不能确定

查看答案和解析>>

科目:高中数学 来源:2015-2016学年重庆市高一下期中文科数学试卷(解析版) 题型:选择题

,则下列结论中正确的是( )

A. B. C. D.

查看答案和解析>>

科目:高中数学 来源:2015-2016学年重庆市高一下期中理科数学试卷(解析版) 题型:填空题

已知三角形中,过中线的中点任作一条直线分别交边两点,设,则的最小值为___________.

查看答案和解析>>

科目:高中数学 来源:2015-2016学年重庆市高一下期中理科数学试卷(解析版) 题型:选择题

给出下列四个命题,其中正确的命题是( )

①若,则是等边三角形;

②若,则是直角三角形;

③若,则是钝角三角形;

④若,则是等腰三角形;

A.①② B.③④ C.①③ D.②④

查看答案和解析>>

科目:高中数学 来源:2015-2016学年重庆市高二下期中文科数学试卷(解析版) 题型:填空题

函数值域为,则实数的取值范围是

查看答案和解析>>

科目:高中数学 来源:2015-2016学年河北省高二下期中文科数学试卷(解析版) 题型:解答题

为迎接即将举行的集体跳绳比赛,高一年级对甲、乙两个代表队各进行了6轮测试,测试成绩(单位:次/分钟)如下表:

(1)在答题卡上补全茎叶图并指出乙队测试成绩的中位数和众数;

(2)试求甲、乙两个代表队的平均数、方差,并对甲乙两个代表队的测试成绩进行分析.

查看答案和解析>>

同步练习册答案