精英家教网 > 高中数学 > 题目详情

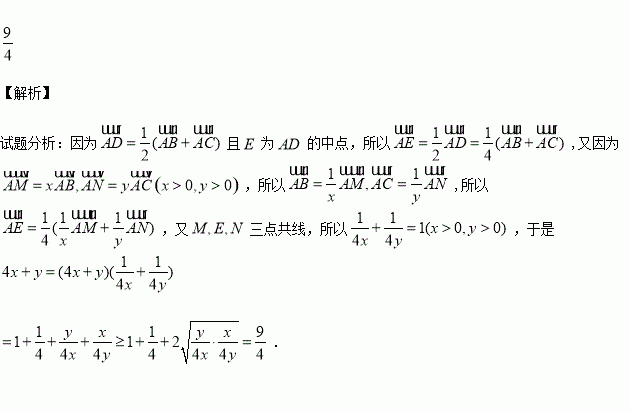
已知三角形中,过中线的中点任作一条直线分别交边两点,设,则的最小值为___________.

练习册系列答案
相关习题

科目:高中数学 来源:2015-2016学年河北石家庄一中高二下第二次月考文数学卷(解析版) 题型:填空题

为抛物线的顶点,过抛物线焦点的直线交抛物线于两点,则等于

查看答案和解析>>

科目:高中数学 来源:2015-2016学年重庆市高一下期中文科数学试卷(解析版) 题型:解答题

中,角所对的边分别为,且满足.

(1)求角的大小;

(2)若点中点,且,求

查看答案和解析>>

科目:高中数学 来源:2015-2016学年重庆市高一下期中文科数学试卷(解析版) 题型:选择题

在等差数列中,,数列是等比数列,且,则的值为( )

A.2 B.4 C.8 D.16

查看答案和解析>>

科目:高中数学 来源:2015-2016学年重庆市高一下期中理科数学试卷(解析版) 题型:解答题

数列满足.

(1)已知,若数列成等差数列,求实数

(2)求数列的前项和.

查看答案和解析>>

科目:高中数学 来源:2015-2016学年重庆市高一下期中理科数学试卷(解析版) 题型:选择题

设正数满足:,则的最小值为( )

A. B. C.4 D.2

查看答案和解析>>

科目:高中数学 来源:2015-2016学年重庆市高一下期中理科数学试卷(解析版) 题型:选择题

直线的倾斜角的取值范围是( )

A. B.

C. D.

查看答案和解析>>

科目:高中数学 来源:2015-2016学年重庆市高二下期中文科数学试卷(解析版) 题型:选择题

,且,若,则必有( )

A. B. C. D.

查看答案和解析>>

科目:高中数学 来源:2015-2016学年河北省高二下期中文科数学试卷(解析版) 题型:填空题

已知一个圆锥的母线长为2,侧面展开是半圆,则该圆锥的体积为_________.

查看答案和解析>>

同步练习册答案