精英家教网 > 高中数学 > 题目详情

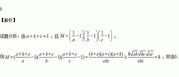
,且,若,则必有( )

A. B. C. D.

练习册系列答案
相关习题

科目:高中数学 来源:2015-2016学年河北石家庄一中高二下第二次月考理数学卷(解析版) 题型:选择题

一个棱长为的正三棱柱的六个顶点全部在同一个球面上,则此球的表面积为( )

A. B. C. D.

查看答案和解析>>

科目:高中数学 来源:2015-2016学年重庆市高一下期中理科数学试卷(解析版) 题型:填空题

已知三角形中,过中线的中点任作一条直线分别交边两点,设,则的最小值为___________.

查看答案和解析>>

科目:高中数学 来源:2015-2016学年重庆市高二下期中文科数学试卷(解析版) 题型:解答题

如图,是直角三角形,,以为直径的圆于点,点边的中点,连接交圆于点.

(1)求证:四点共圆;

(2)求证:.

查看答案和解析>>

科目:高中数学 来源:2015-2016学年重庆市高二下期中文科数学试卷(解析版) 题型:填空题

函数值域为,则实数的取值范围是

查看答案和解析>>

科目:高中数学 来源:2015-2016学年重庆市高二下期中文科数学试卷(解析版) 题型:选择题

在极坐标系中的点到圆的圆心的距离为( )

A. B. C. D.

查看答案和解析>>

科目:高中数学 来源:2015-2016学年重庆市高二下期中理科数学试卷(解析版) 题型:解答题

如图,于点,直线交于两点,,垂足为.

(1)证明:

(2)若,求的直径.

查看答案和解析>>

科目:高中数学 来源:2015-2016学年重庆市高二下期中理科数学试卷(解析版) 题型:选择题

一个几何体的三视图如图所示,该几何体的表面积为( )

A. B. C. D.

查看答案和解析>>

科目:高中数学 来源:2015-2016学年河北省高二下期中理科数学试卷(解析版) 题型:选择题

中,,在上任取一点,则使是以为钝角的三角形的概率为( )

A. B. C. D.

查看答案和解析>>

同步练习册答案