精英家教网 > 高中数学 > 题目详情

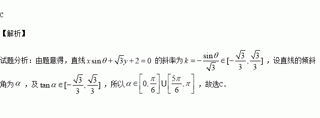
直线的倾斜角的取值范围是( )

A. B.

C. D.

练习册系列答案
相关习题

科目:高中数学 来源:2015-2016学年河北石家庄一中高二下第二次月考文数学卷(解析版) 题型:选择题

命题“”为真命题的一个充分不必要条件是( )

A. B. C. D.

查看答案和解析>>

科目:高中数学 来源:2015-2016学年重庆市高一下期中文科数学试卷(解析版) 题型:选择题

中,角所对的边分别为,若,则( )

A. B.

C. D.的大小关系不能确定

查看答案和解析>>

科目:高中数学 来源:2015-2016学年重庆市高一下期中理科数学试卷(解析版) 题型:填空题

已知三角形中,过中线的中点任作一条直线分别交边两点,设,则的最小值为___________.

查看答案和解析>>

科目:高中数学 来源:2015-2016学年重庆市高一下期中理科数学试卷(解析版) 题型:选择题

给出下列四个命题,其中正确的命题是( )

①若,则是等边三角形;

②若,则是直角三角形;

③若,则是钝角三角形;

④若,则是等腰三角形;

A.①② B.③④ C.①③ D.②④

查看答案和解析>>

科目:高中数学 来源:2015-2016学年重庆市高二下期中文科数学试卷(解析版) 题型:解答题

如图,是直角三角形,,以为直径的圆于点,点边的中点,连接交圆于点.

(1)求证:四点共圆;

(2)求证:.

查看答案和解析>>

科目:高中数学 来源:2015-2016学年重庆市高二下期中文科数学试卷(解析版) 题型:填空题

函数值域为,则实数的取值范围是

查看答案和解析>>

科目:高中数学 来源:2015-2016学年重庆市高二下期中理科数学试卷(解析版) 题型:解答题

如图,于点,直线交于两点,,垂足为.

(1)证明:

(2)若,求的直径.

查看答案和解析>>

科目:高中数学 来源:2015-2016学年河北省高二下期中文科数学试卷(解析版) 题型:选择题

已知幂函数的图象经过点,则该函数的解析式为( )

A. B. C. D.

查看答案和解析>>

同步练习册答案