精英家教网 > 高中数学 > 题目详情
已知cos(x-)=,x∈
(Ⅰ)求sinx的值;
(Ⅱ)求sin(2x+)的值。
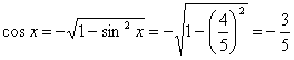
解:(Ⅰ)因为,所以
于是


(Ⅱ)因为,故

所以
练习册系列答案
相关习题

科目:高中数学 来源: 题型:

已知cos(π+x)=
3
5
,x∈(π,2π)
,则sinx=(  )
A、-
3
5
B、-
4
5
C、
3
5
D、
4
5

查看答案和解析>>

科目:高中数学 来源: 题型:

已知cos(x+
π
2
)=
1
2
,则cos2x=
1
2
1
2

查看答案和解析>>

科目:高中数学 来源: 题型:

已知 cos(x-
π
4
)=
2
10
x∈(
π
2
,π)

(I)求sinx的值;
(Ⅱ)求sin(2x+
π
3
)
的值.

查看答案和解析>>

科目:高中数学 来源: 题型:

(理科做)已知cos(x+
π
6
)=
3
5
,x∈(0,π),则sinx的值为(  )

查看答案和解析>>

科目:高中数学 来源: 题型:

已知cos(x+
π
6
)=
1
4
,则sin(
π
6
-2x)
=
 

查看答案和解析>>

同步练习册答案