精英家教网 > 高中数学 > 题目详情

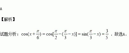
已知,则等于( )

A. B. C. D.

练习册系列答案
相关习题

科目:高中数学 来源:2016届广西五市高三5月联合模拟数学(理)试卷(解析版) 题型:选择题

命题“”的否定是( )

A. B.

C. D.

查看答案和解析>>

科目:高中数学 来源:2016届福建漳州市高三毕业班5月质检数学(文)试卷(解析版) 题型:选择题

执行如图的程序框图,若输入,则输出的结果是( )

A.30 B.62 C.126 D.254

查看答案和解析>>

科目:高中数学 来源:2016届福建漳州市高三毕业班5月质检数学(理)试卷(解析版) 题型:填空题

直线被圆截得的弦长为,则 .

查看答案和解析>>

科目:高中数学 来源:2016届福建漳州市高三毕业班5月质检数学(理)试卷(解析版) 题型:选择题

的展开式中,只有第5项的二项式系数最大,则展开式中常数项是( )

A. B. C. D.

查看答案和解析>>

科目:高中数学 来源:2015-2016学年辽宁东北育才学校高一下段考二数学试卷(解析版) 题型:解答题

某农科所对冬季昼夜温差大小与某反季节大豆新品种发芽多少之间的关系进行分析研究,他们分别记录了12月1日至12月5日的每天昼夜温差与实验室每天每100颗种子中的发芽数,得到如下资料:

日 期

12月1日 

12月2日 

12月3日 

12月4日 

12月5日 

温差(°C)

10

11

13

12

8

发芽数(颗)

23

25

30

26

16

该农科所确定的研究方案是:先从这五组数据中选取2组,用剩下的3组数据求线性回归方程,再对被选取的2组数据进行检验.

(1)求选取的2组数据恰好是不相邻2天数据的概率;

(2)若选取的是12月1日与12月5日的两组数据,请根据12月2日至12月4日的数据,求出y关于x的线性回归方程

(3)若由线性回归方程得到的估计数据与所选出的检验数据的误差均不超过2颗,则认为得到的线性回归方程是可靠的,试问(2)中所得的线性回归方程是否可靠?

(注:

查看答案和解析>>

科目:高中数学 来源:2015-2016学年辽宁东北育才学校高一下段考二数学试卷(解析版) 题型:选择题

已知是锐角内一点,满足,且,若,则实数( )

A. B. C. D.

查看答案和解析>>

科目:高中数学 来源:2015-2016学年河北唐山一中高一下学期期末数学文试卷(解析版) 题型:解答题

已知三点,求的外接圆的方程.

查看答案和解析>>

科目:高中数学 来源:2016届四川凉山州高三第三次诊断数学(文)试卷(解析版) 题型:解答题

如图,在四棱锥中,底面为直角梯形,底面的中点,为棱的中点.

(1)证明:平面

(2)已知,求点到平面的距离.

查看答案和解析>>

同步练习册答案