精英家教网 > 高中数学 > 题目详情

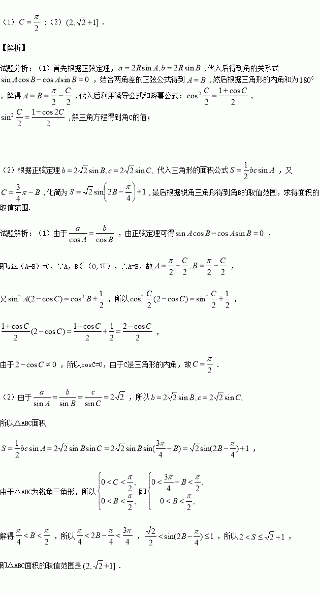
已知△ABC中,内角A,B,C的对边分别为a,b,c.

(1)若,且,求角C大小;

(2)若△ABC为锐角三角形,且,求△ABC面积的取值范围.

练习册系列答案
相关习题

科目:高中数学 来源:2015-2016学年广东茂名十七中高二下学期期末数学(理)试卷(解析版) 题型:填空题

二项式的展开式中二项式系数最大的项是第

查看答案和解析>>

科目:高中数学 来源:2016届河南六市高三第二次联考数学(文)试卷(解析版) 题型:解答题

选修4-1:几何证明选讲

如图,圆O的直径AB=10,P是AB延长线上一点,BP=2,割线PCD交圆O于点C,D,过点P作AP的垂线,交直线AC于点E,交直线AD于点F.

(1)当时,求的度数;

(2)求的值.

查看答案和解析>>

科目:高中数学 来源:2016届河南六市高三第二次联考数学(文)试卷(解析版) 题型:选择题

在明朝程大位《算法统宗》中有这样的一首歌谣:“远看巍巍塔七层,红光点点倍加增,共灯三百八十一,请问尖头几盏灯?”这首古诗描述的这个宝塔其古称浮屠,本题说它一共有7层,每层悬挂的红灯数是上一层的2倍,共有381盏灯,问塔顶有几盏灯?

A.5 B.6 C.4 D.3

查看答案和解析>>

科目:高中数学 来源:2016届河南六市高三第二次联考数学(理)试卷(解析版) 题型:解答题

选修4-1:几何证明选讲

自圆O外一点P引圆O的两条割线PAB和PDC,如图所示,其中割线PDC过圆心O,.

(1)求的大小;

(2)分别求线段BC和PA的长度.

查看答案和解析>>

科目:高中数学 来源:2016届河南六市高三第二次联考数学(理)试卷(解析版) 题型:选择题

已知函数存在极小值,且对于b的所有可能取值,f(x)的极小值恒大于0,则a的最小值为( )

A. B. C. D.

查看答案和解析>>

科目:高中数学 来源:2016届河南六市高三第二次联考数学(理)试卷(解析版) 题型:选择题

在明朝程大位《算法统宗》中有这样的一首歌谣:“远看巍巍塔七层,红光点点倍加增,共灯三百八十一,请问尖头几盏灯?”这首古诗描述的这个宝塔其古称浮屠,本题说它一共有7层,每层悬挂的红灯数是上一层的2倍,共有381盏灯,塔顶有几盏灯?( )

A. 5 B. 6 C. 4 D. 3

查看答案和解析>>

科目:高中数学 来源:2016-2017学年河北石家庄市高三文9月摸底数学试卷(解析版) 题型:选择题

某几何体的三视图如右图所示,则该几何体的表面积为

A. B. C. D.

查看答案和解析>>

科目:高中数学 来源:2015-2016学年辽宁省协作校高一下期末数学试卷(解析版) 题型:填空题

,则

查看答案和解析>>

同步练习册答案